🇳🇴 🇬🇧 🇩🇪 🇨🇿 🇫🇮

Meteor, poloha: Brumunddal 2024-01-20 00:06:53 UTC

Soubor KML  |  InteraktivnĂ­ mapa

Mapa zobrazuje dráhy meteoru. Světlejší čáry ukazují směry od pozorovacích stanic při objevení se meteoru a tmavší čáry, kde byl naposledy viděn. Modrá šipka značí viditelnou dráhu meteoru.

static map
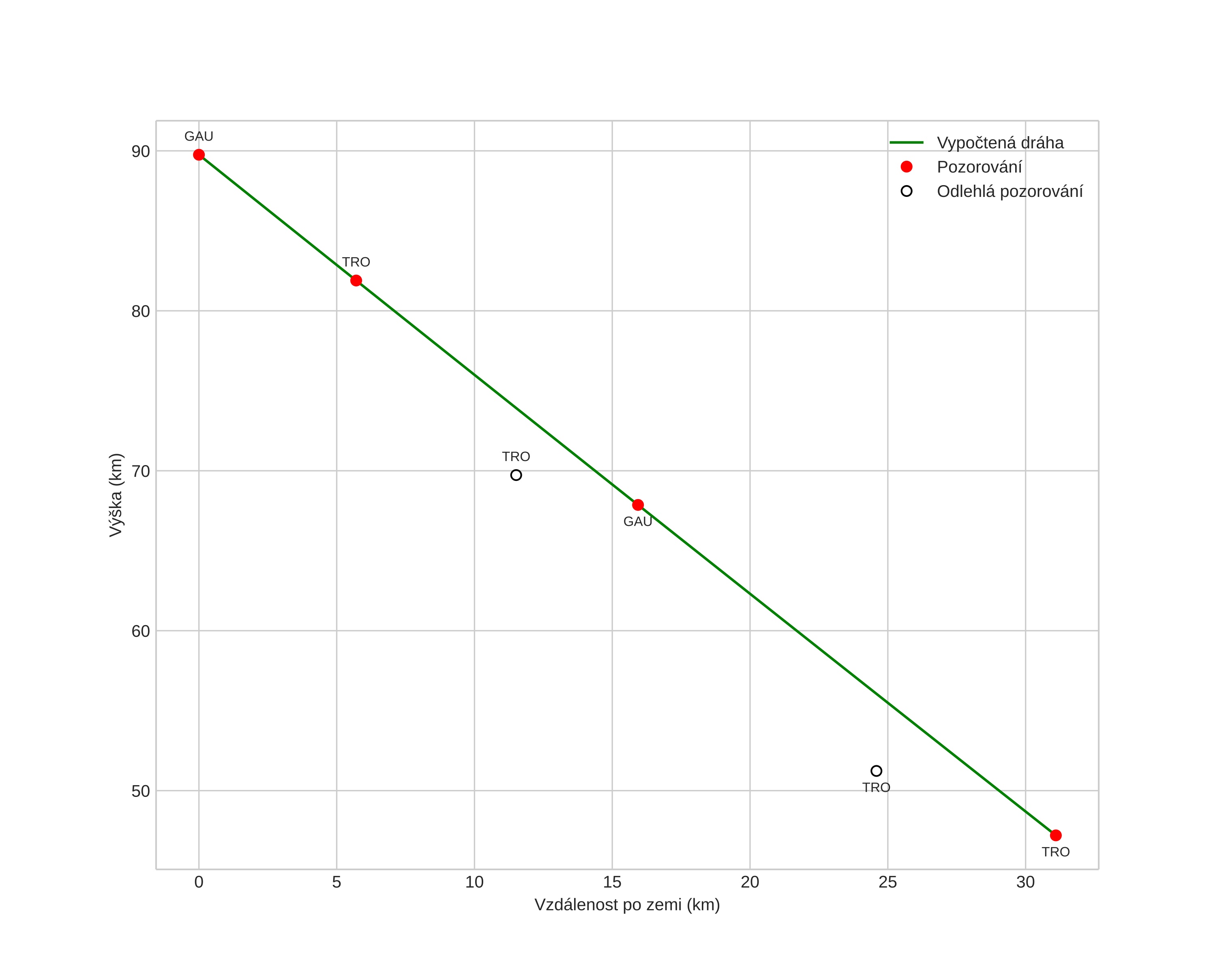
height profile
Atmosférická dráha meteoru:
Počáteční výška: 132,5 km
Konečná výška: 31,3 km
Počáteční poloha: 60,533N 12,119E
Konečná poloha: 60,868N 10,832E
Směr: 298,6°
Sklon: 51,9°
VstupnĂ­ rychlost: 27,6 km/s
Rektascenze radiantu: 11:31 (172,9°)
Deklinace radiantu: 31,4°
MeteorickĂ˝ roj: sporadickĂ˝
Elementy dráhy meteoroidu:
Vzdálenost v periheliu: 0,228 AU
Excentricita: 0,701
Sklon dráhy: 35,6°
Délka vzestupného uzlu: 299,1°
Argument perihelia: 329,7°
Střední anomálie: 282,4°
Epocha: 2024 JAN 20 00:06:53
orbit plot

NeinteraktivnĂ­ graf | InteraktivnĂ­ graf

position vs time
speed and acceleration