🇳🇴 🇬🇧 🇩🇪 🇨🇿 🇫🇮

Meteor, poloha: Storslett 2024-01-24 19:10:58 UTC

Soubor KML  |  InteraktivnĂ­ mapa

Mapa zobrazuje dráhy meteoru. Světlejší čáry ukazují směry od pozorovacích stanic při objevení se meteoru a tmavší čáry, kde byl naposledy viděn. Modrá šipka značí viditelnou dráhu meteoru.

static map
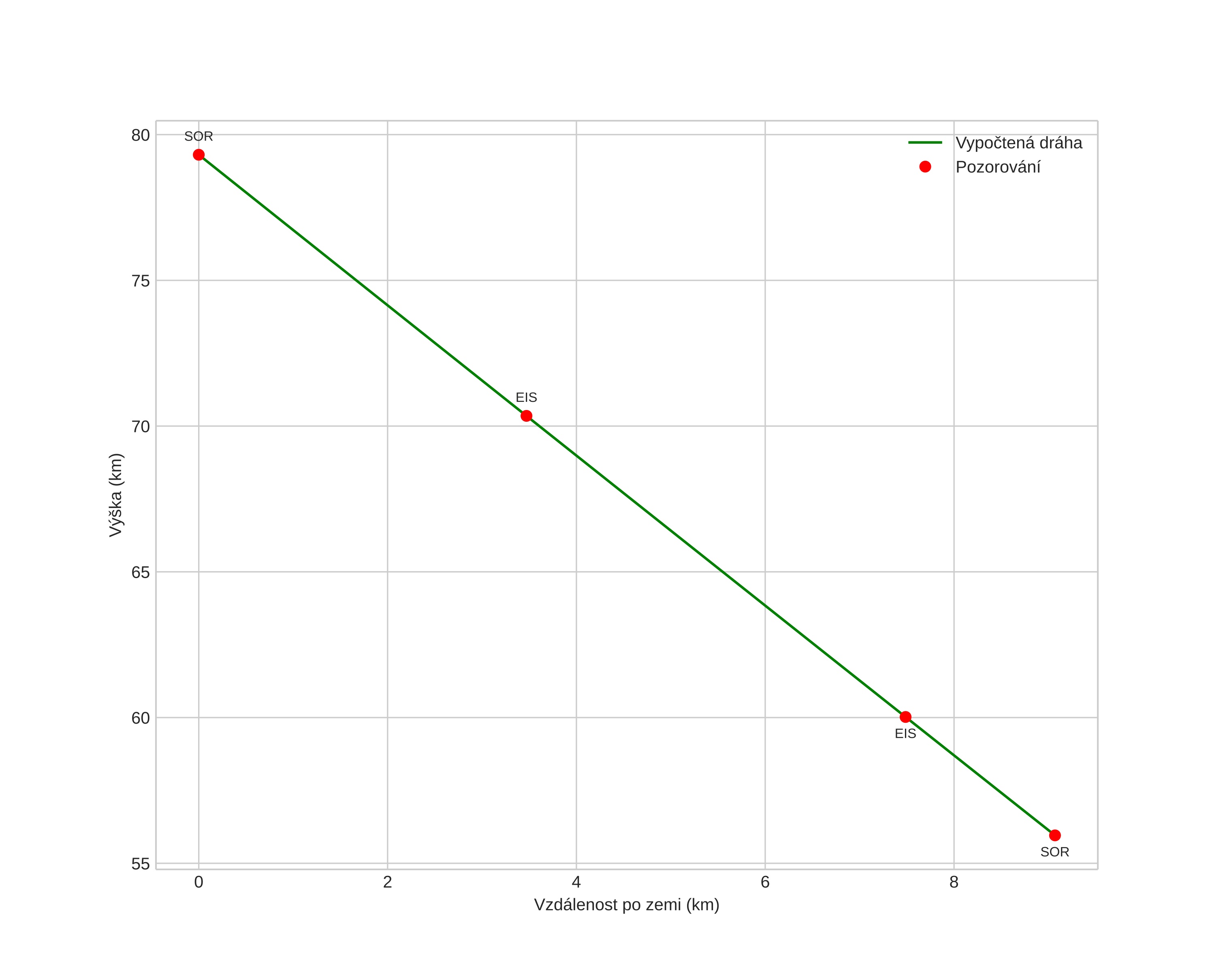
height profile
Atmosférická dráha meteoru:
Počáteční výška: 81,2 km
Konečná výška: 56,3 km
Počáteční poloha: 69,294N 21,376E
Konečná poloha: 69,377N 21,302E
Směr: 342,4°
Sklon: 68,9°
VstupnĂ­ rychlost: 16,5 km/s
Rektascenze radiantu: 05:25 (81,5°)
Deklinace radiantu: 45,4°
MeteorickĂ˝ roj: sporadickĂ˝
Elementy dráhy meteoroidu:
Vzdálenost v periheliu: 0,927 AU
Excentricita: 0,683
Sklon dráhy: 7,0°
Délka vzestupného uzlu: 303,9°
Argument perihelia: 211,0°
Střední anomálie: 355,6°
Epocha: 2024 JAN 24 19:10:58
orbit plot

NeinteraktivnĂ­ graf | InteraktivnĂ­ graf

position vs time
speed and acceleration