🇳🇴 🇬🇧 🇩🇪 🇨🇿 🇫🇮

Meteor, poloha: Evjen 2024-01-26 02:53:43 UTC

Soubor KML  |  InteraktivnĂ­ mapa

Mapa zobrazuje dráhy meteoru. Světlejší čáry ukazují směry od pozorovacích stanic při objevení se meteoru a tmavší čáry, kde byl naposledy viděn. Modrá šipka značí viditelnou dráhu meteoru.

static map
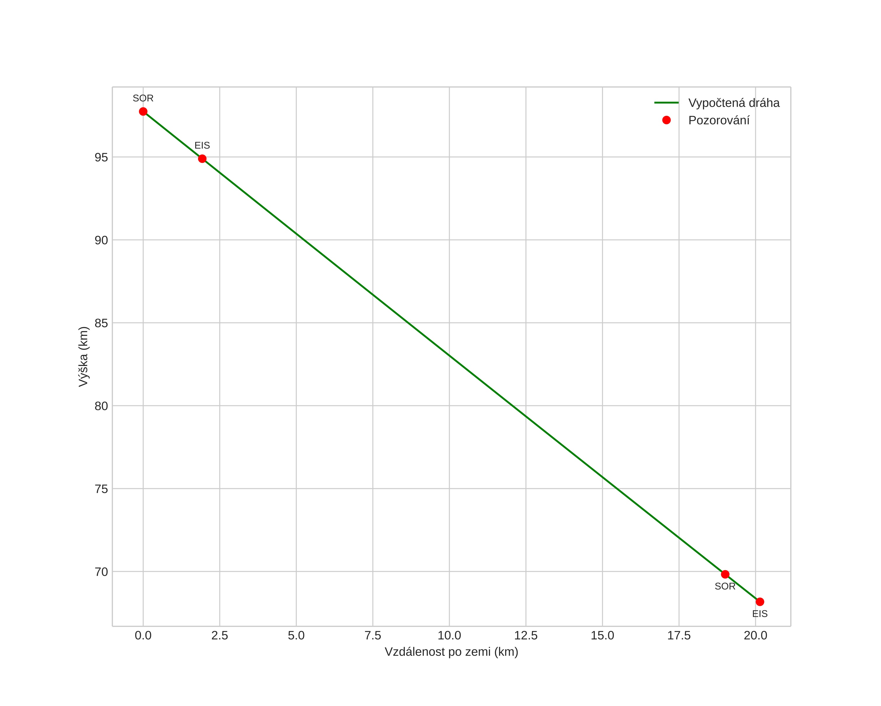
height profile
Atmosférická dráha meteoru:
Počáteční výška: 91,1 km
Konečná výška: 63,4 km
Počáteční poloha: 68,676N 13,726E
Konečná poloha: 68,538N 13,871E
Směr: 159,0°
Sklon: 59,3°
VstupnĂ­ rychlost: 17,1 km/s
Rektascenze radiantu: 03:15 (48,8°)
Deklinace radiantu: 72,8°
MeteorickĂ˝ roj: sporadickĂ˝
Elementy dráhy meteoroidu:
Vzdálenost v periheliu: 0,967 AU
Excentricita: 0,644
Sklon dráhy: 15,7°
Délka vzestupného uzlu: 305,3°
Argument perihelia: 197,5°
Střední anomálie: 357,1°
Epocha: 2024 JAN 26 02:53:43
orbit plot

NeinteraktivnĂ­ graf | InteraktivnĂ­ graf

position vs time
speed and acceleration