🇳🇴 🇬🇧 🇩🇪 🇨🇿 🇫🇮

Meteor, poloha: Stavern 2024-01-27 23:10:00 UTC

Soubor KML  |  InteraktivnĂ­ mapa

Mapa zobrazuje dráhy meteoru. Světlejší čáry ukazují směry od pozorovacích stanic při objevení se meteoru a tmavší čáry, kde byl naposledy viděn. Modrá šipka značí viditelnou dráhu meteoru.

static map
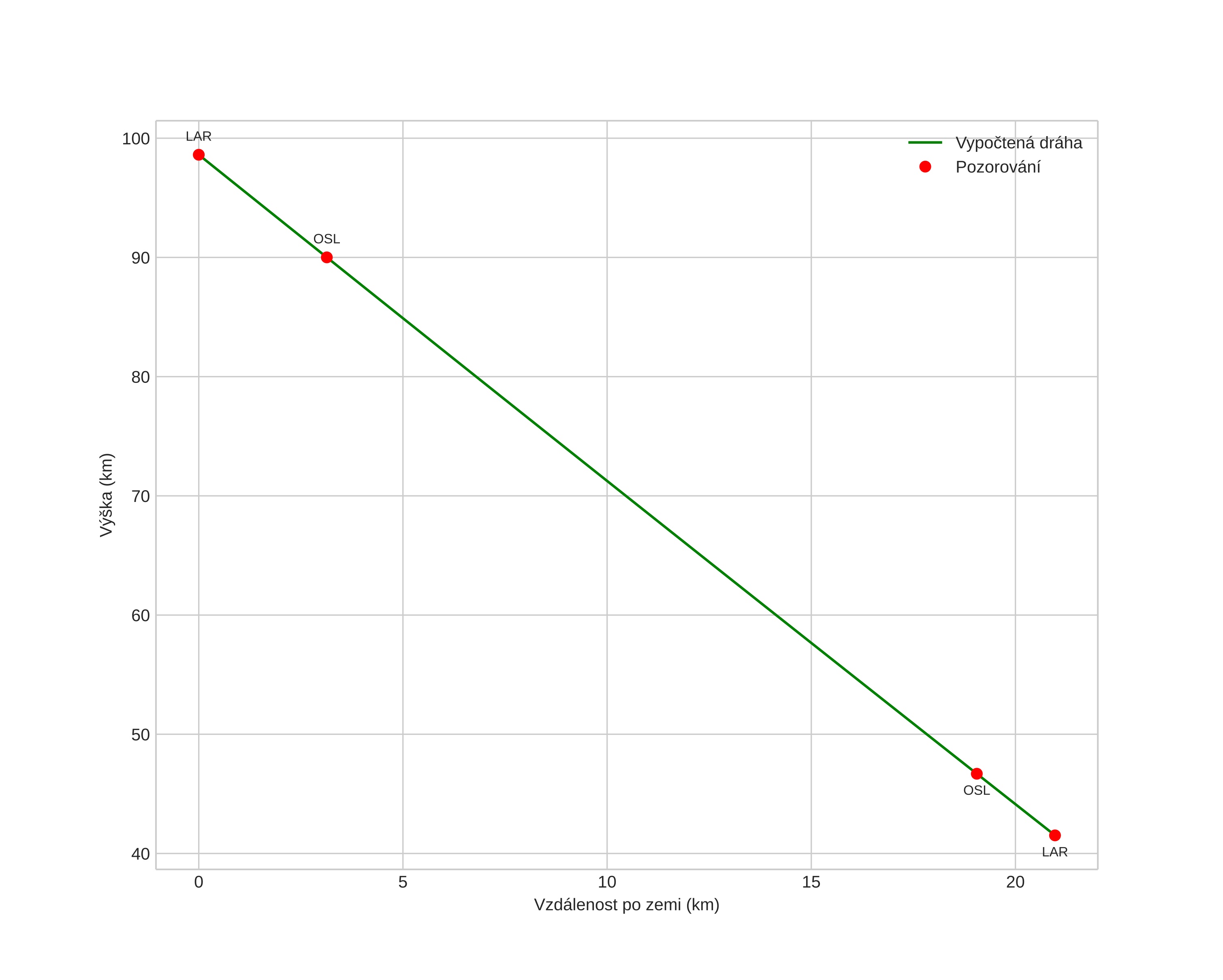
height profile
Atmosférická dráha meteoru:
Počáteční výška: 97,6 km
Konečná výška: 40,5 km
Počáteční poloha: 58,704N 10,131E
Konečná poloha: 58,858N 9,921E
Směr: 324,8°
Sklon: 69,8°
VstupnĂ­ rychlost: 28,7 km/s
Rektascenze radiantu: 09:15 (138,9°)
Deklinace radiantu: 40,3°
MeteorickĂ˝ roj: sporadickĂ˝
Elementy dráhy meteoroidu:
Vzdálenost v periheliu: 0,583 AU
Excentricita: 0,844
Sklon dráhy: 19,4°
Délka vzestupného uzlu: 307,2°
Argument perihelia: 263,8°
Střední anomálie: 354,4°
Epocha: 2024 JAN 27 23:10:00
orbit plot

NeinteraktivnĂ­ graf | InteraktivnĂ­ graf

position vs time
speed and acceleration