🇳🇴 🇬🇧 🇩🇪 🇨🇿 🇫🇮

Meteor, poloha: Kragerø 2024-01-30 23:17:16 UTC

Soubor KML  |  InteraktivnĂ­ mapa

Mapa zobrazuje dráhy meteoru. Světlejší čáry ukazují směry od pozorovacích stanic při objevení se meteoru a tmavší čáry, kde byl naposledy viděn. Modrá šipka značí viditelnou dráhu meteoru.

static map
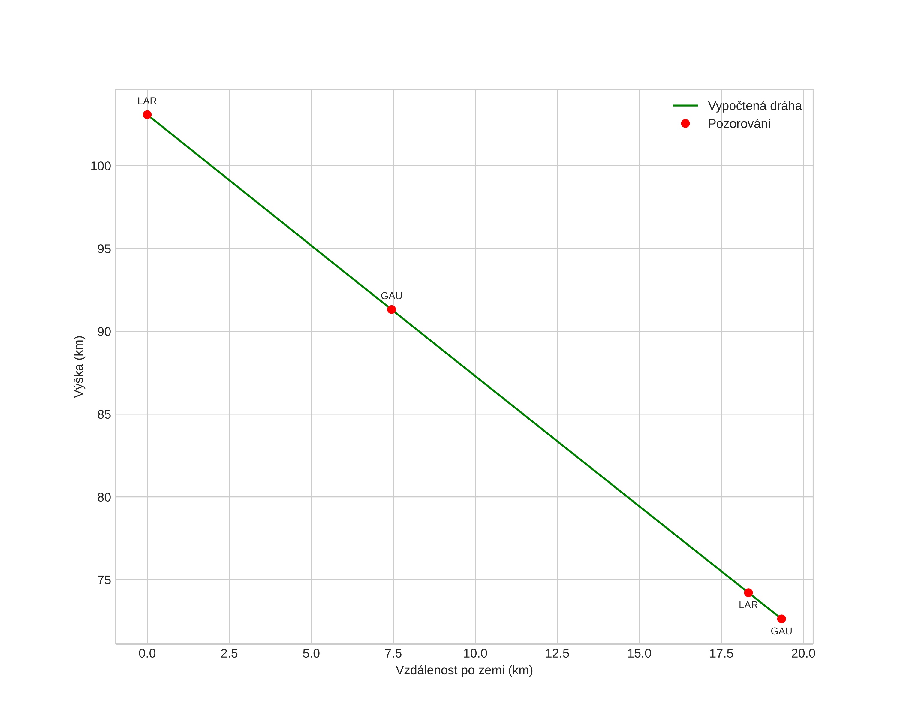
height profile
Atmosférická dráha meteoru:
Počáteční výška: 103,2 km
Konečná výška: 72,6 km
Počáteční poloha: 58,402N 9,774E
Konečná poloha: 58,566N 9,659E
Směr: 339,8°
Sklon: 57,6°
VstupnĂ­ rychlost: 28,0 km/s
Rektascenze radiantu: 09:20 (140,0°)
Deklinace radiantu: 25,8°
MeteorickĂ˝ roj: sporadickĂ˝
Elementy dráhy meteoroidu:
Vzdálenost v periheliu: 0,500 AU
Excentricita: 0,800
Sklon dráhy: 8,7°
Délka vzestupného uzlu: 310,2°
Argument perihelia: 276,2°
Střední anomálie: 349,2°
Epocha: 2024 JAN 30 23:17:16
orbit plot

NeinteraktivnĂ­ graf | InteraktivnĂ­ graf

position vs time
speed and acceleration