🇳🇴 🇬🇧 🇩🇪 🇨🇿 🇫🇮

Meteor, poloha: Seljord 2024-02-05 01:38:25 UTC

Soubor KML  |  InteraktivnĂ­ mapa

Mapa zobrazuje dráhy meteoru. Světlejší čáry ukazují směry od pozorovacích stanic při objevení se meteoru a tmavší čáry, kde byl naposledy viděn. Modrá šipka značí viditelnou dráhu meteoru.

static map
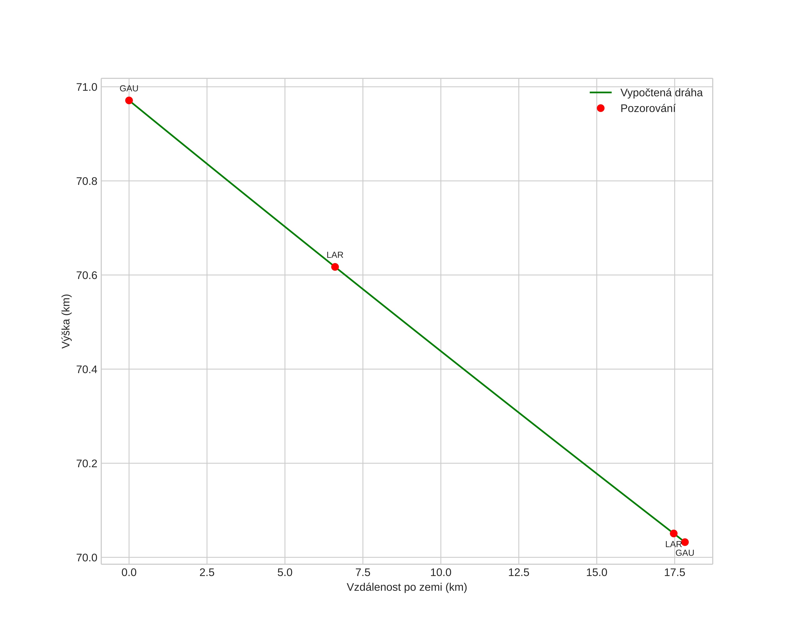
height profile
Atmosférická dráha meteoru:
Počáteční výška: 71,6 km
Konečná výška: 70,1 km
Počáteční poloha: 59,640N 8,469E
Konečná poloha: 59,492N 8,590E
Směr: 157,5°
Sklon: 4,8°
VstupnĂ­ rychlost: 13,6 km/s
Rektascenze radiantu: 00:36 (9,1°)
Deklinace radiantu: 5,7°
MeteorickĂ˝ roj: sporadickĂ˝
Elementy dráhy meteoroidu:
Vzdálenost v periheliu: 0,962 AU
Excentricita: 0,543
Sklon dráhy: 0,4°
Délka vzestupného uzlu: 315,1°
Argument perihelia: 158,9°
Střední anomálie: 5,4°
Epocha: 2024 FEB 05 01:38:25
orbit plot

NeinteraktivnĂ­ graf | InteraktivnĂ­ graf

position vs time
speed and acceleration