🇳🇴 🇬🇧 🇩🇪 🇨🇿 🇫🇮

Meteor, poloha: Narvik 2024-02-10 05:10:15 UTC

Soubor KML  |  InteraktivnĂ­ mapa

Mapa zobrazuje dráhy meteoru. Světlejší čáry ukazují směry od pozorovacích stanic při objevení se meteoru a tmavší čáry, kde byl naposledy viděn. Modrá šipka značí viditelnou dráhu meteoru.

static map
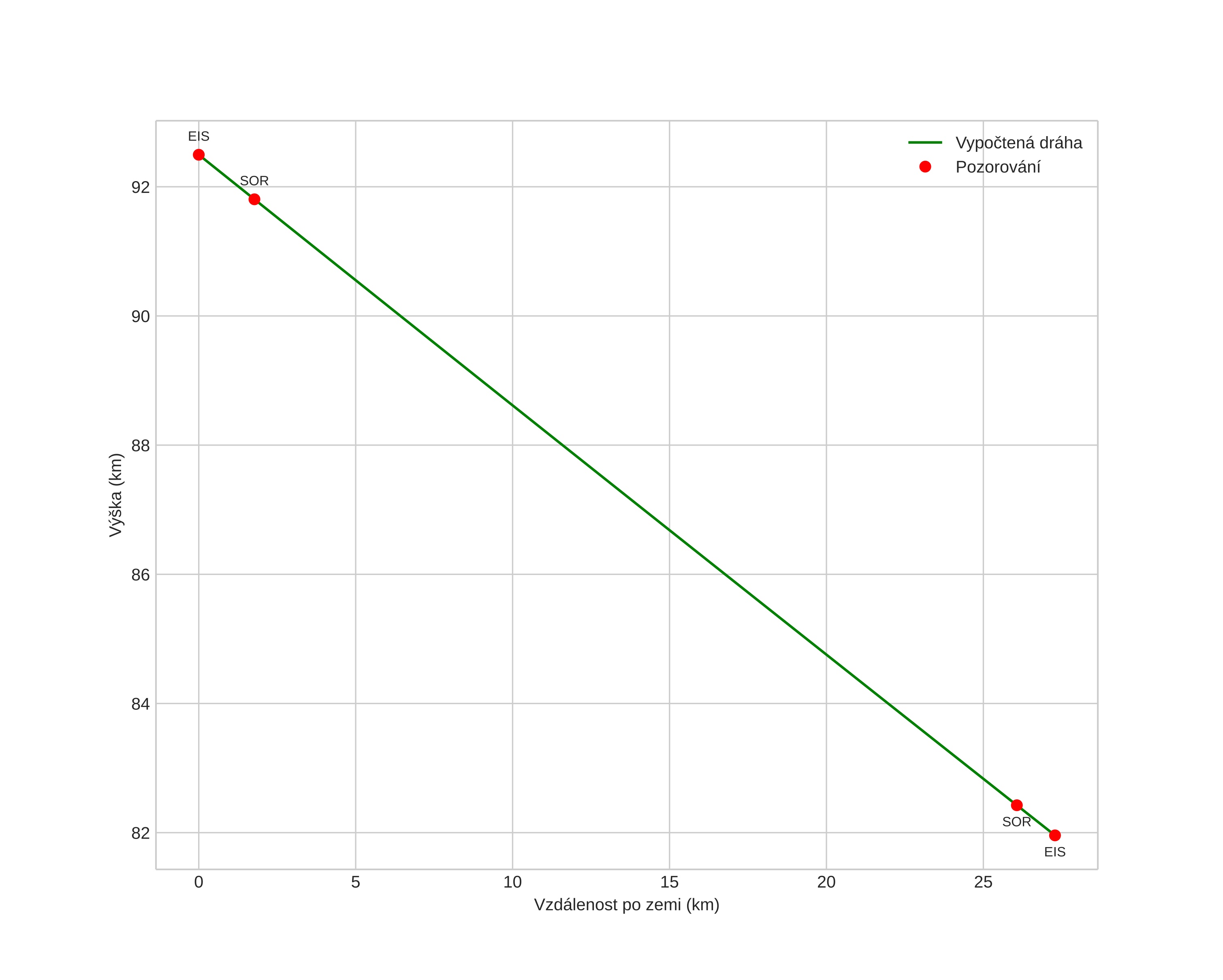
height profile
Atmosférická dráha meteoru:
Počáteční výška: 92,0 km
Konečná výška: 81,2 km
Počáteční poloha: 68,108N 16,569E
Konečná poloha: 68,047N 17,210E
Směr: 104,1°
Sklon: 21,5°
VstupnĂ­ rychlost: 25,9 km/s
Rektascenze radiantu: 09:08 (137,2°)
Deklinace radiantu: 21,4°
MeteorickĂ˝ roj: sporadickĂ˝
Elementy dráhy meteoroidu:
Vzdálenost v periheliu: 0,645 AU
Excentricita: 0,883
Sklon dráhy: 3,4°
Délka vzestupného uzlu: 320,6°
Argument perihelia: 254,9°
Střední anomálie: 357,0°
Epocha: 2024 FEB 10 05:10:15
orbit plot

NeinteraktivnĂ­ graf | InteraktivnĂ­ graf

position vs time
speed and acceleration