🇳🇴 🇬🇧 🇩🇪 🇨🇿 🇫🇮

Meteor, poloha: Tromsø 2024-02-12 17:42:48 UTC

Soubor KML  |  InteraktivnĂ­ mapa

Mapa zobrazuje dráhy meteoru. Světlejší čáry ukazují směry od pozorovacích stanic při objevení se meteoru a tmavší čáry, kde byl naposledy viděn. Modrá šipka značí viditelnou dráhu meteoru.

static map
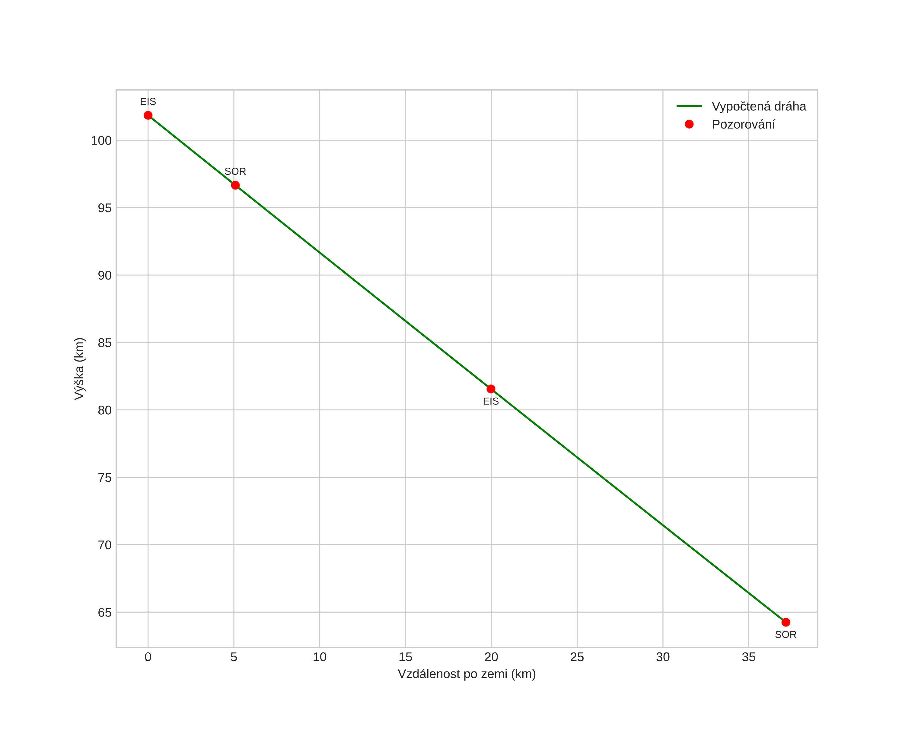
height profile
Atmosférická dráha meteoru:
Počáteční výška: 104,9 km
Konečná výška: 64,0 km
Počáteční poloha: 69,924N 18,306E
Konečná poloha: 69,606N 18,799E
Směr: 151,6°
Sklon: 45,5°
VstupnĂ­ rychlost: 25,9 km/s
Rektascenze radiantu: 19:20 (290,1°)
Deklinace radiantu: 59,4°
MeteorickĂ˝ roj: sporadickĂ˝
Elementy dráhy meteoroidu:
Vzdálenost v periheliu: 0,967 AU
Excentricita: 0,679
Sklon dráhy: 36,7°
Délka vzestupného uzlu: 323,2°
Argument perihelia: 161,8°
Střední anomálie: 2,6°
Epocha: 2024 FEB 12 17:42:48
orbit plot

NeinteraktivnĂ­ graf | InteraktivnĂ­ graf

position vs time
speed and acceleration