🇳🇴 🇬🇧 🇩🇪 🇨🇿 🇫🇮

Meteor Tromsøin yllä 2024-02-12 17:42:49 UTC

KML-tiedosto  |  Interaktiivinen kartta

Kartta näyttää meteorin suuntahavainnot. Vaaleammat viivat näyttävät suunnat havaintoasemilta meteorin ilmestyessä, ja tummemmat viivat näyttävät, missä se viimeksi nähtiin. Sininen nuoli näyttää meteorin näkyvän lennon.

static map
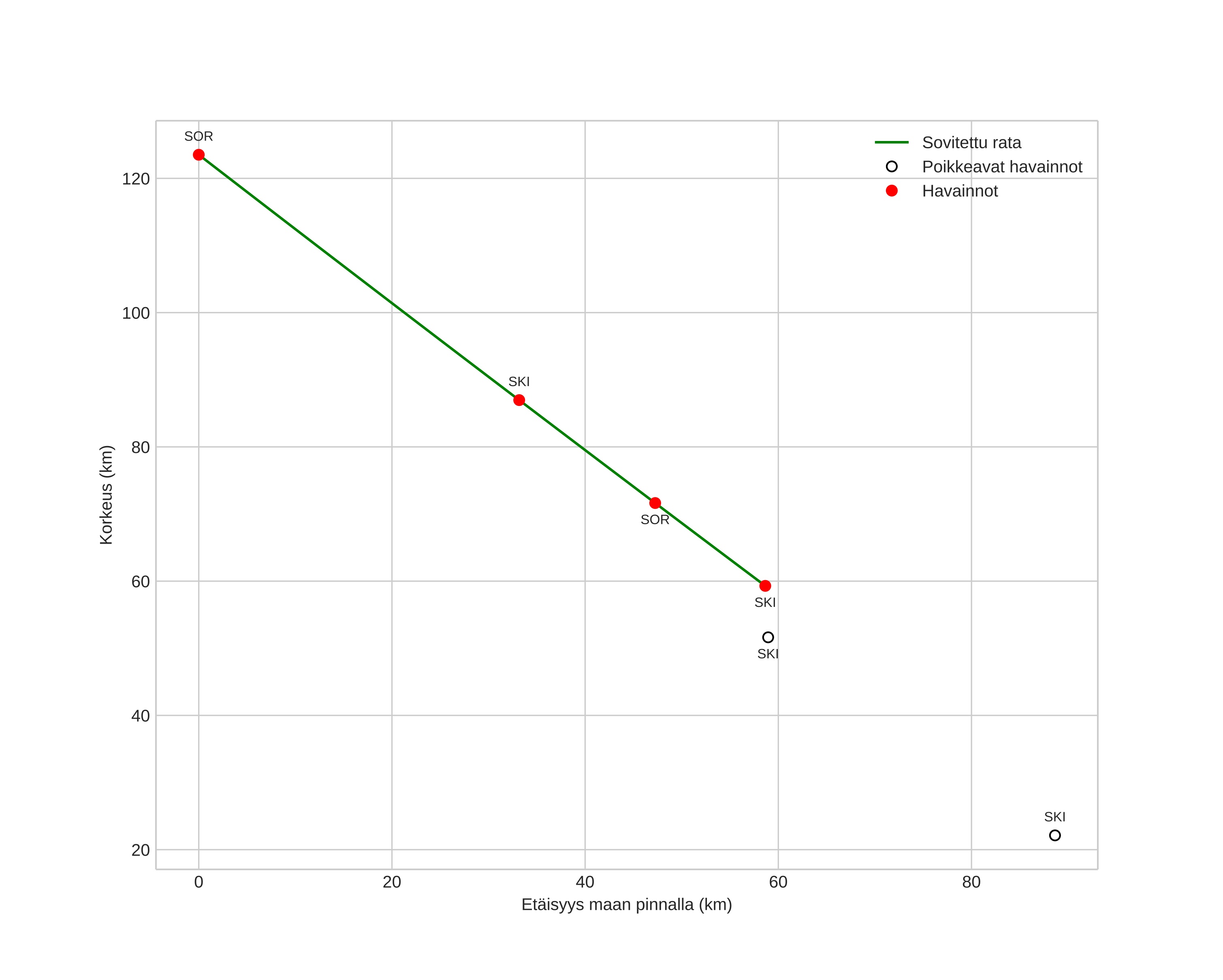
height profile
Meteorin ilmakehärata:
Alkukorkeus: 103,7 km
Loppukorkeus: 62,2 km
Alkupiste: 69,914N 18,320E
Loppupiste: 69,593N 18,808E
Suunta: 152,0°
Kallistuskulma: 45,8°
Tulonopeus: 31,2 km/s
Radiantin R,A,: 19:20 (290,2°)
Radiantin Dekl,: 60,6°
Meteoriparvi: Sporadinen
Meteoroidin rataelementit:
Perihelietäisyys: 0,970 AU
Eksentrisyys: 1,044
Inklinaatio: 42,4°
Nousevan solmun pituus: 323,2°
Perihelin argumentti: 165,2°
Keskianomalia: 0,1°
Epookki: 2024 FEB 12 17:42:49
orbit plot

Ei-interaktiivinen kuvaaja | Interaktiivinen kuvaaja

position vs time
speed and acceleration