🇳🇴 🇬🇧 🇩🇪 🇨🇿 🇫🇮

Meteor Trøimin yllä 2024-02-17 04:28:37 UTC

KML-tiedosto  |  Interaktiivinen kartta

Kartta näyttää meteorin suuntahavainnot. Vaaleammat viivat näyttävät suunnat havaintoasemilta meteorin ilmestyessä, ja tummemmat viivat näyttävät, missä se viimeksi nähtiin. Sininen nuoli näyttää meteorin näkyvän lennon.

static map
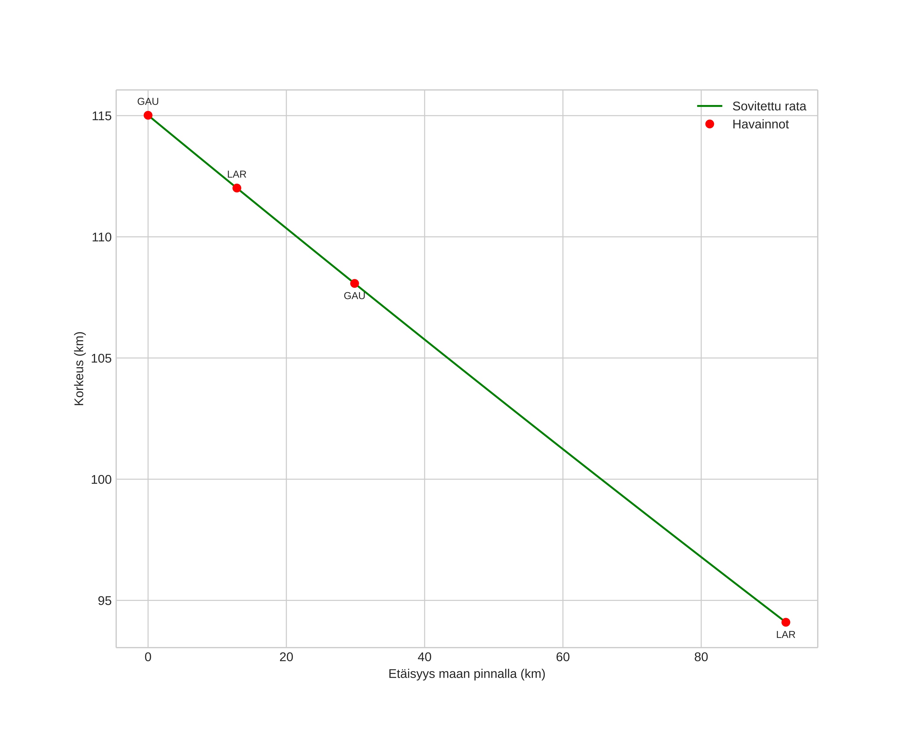
height profile
Meteorin ilmakehärata:
Alkukorkeus: 114,9 km
Loppukorkeus: 93,0 km
Alkupiste: 60,207N 9,560E
Loppupiste: 60,851N 8,560E
Suunta: 323,0°
Kallistuskulma: 13,7°
Tulonopeus: 66,3 km/s
Radiantin R,A,: 17:17 (259,4°)
Radiantin Dekl,: -11,0°
Meteoriparvi: Sporadinen
Meteoroidin rataelementit:
Perihelietäisyys: 0,607 AU
Eksentrisyys: 0,869
Inklinaatio: 155,0°
Nousevan solmun pituus: 327,7°
Perihelin argumentti: 99,8°
Keskianomalia: 4,0°
Epookki: 2024 FEB 17 04:28:37
orbit plot

Ei-interaktiivinen kuvaaja | Interaktiivinen kuvaaja

position vs time
speed and acceleration