🇳🇴 🇬🇧 🇩🇪 🇨🇿 🇫🇮

Meteor, poloha: Myra 2024-02-17 18:43:19 UTC

Soubor KML  |  InteraktivnĂ­ mapa

Mapa zobrazuje dráhy meteoru. Světlejší čáry ukazují směry od pozorovacích stanic při objevení se meteoru a tmavší čáry, kde byl naposledy viděn. Modrá šipka značí viditelnou dráhu meteoru.

static map
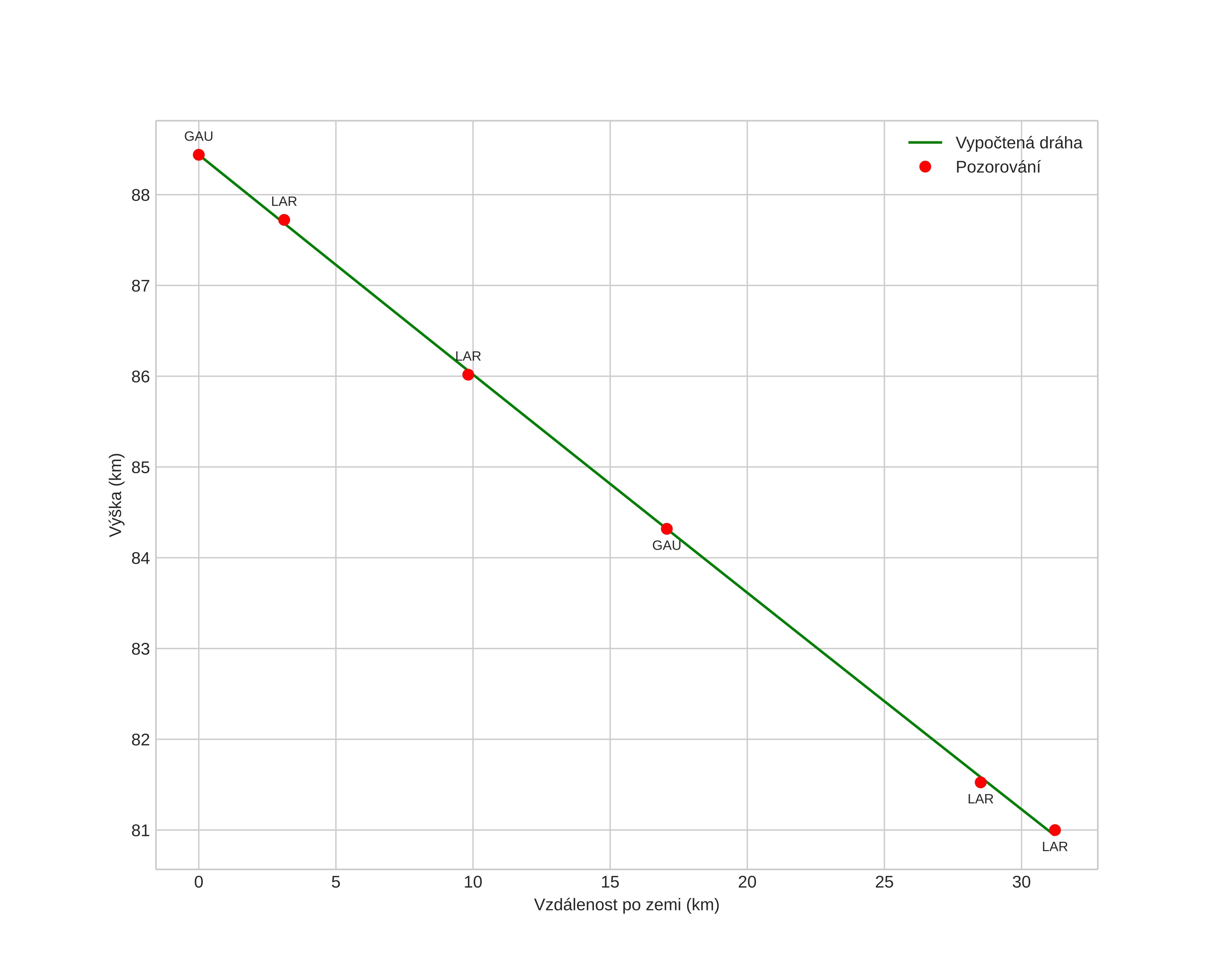
height profile
Atmosférická dráha meteoru:
Počáteční výška: 87,9 km
Konečná výška: 81,2 km
Počáteční poloha: 58,697N 9,229E
Konečná poloha: 58,721N 8,742E
Směr: 275,7°
Sklon: 13,3°
VstupnĂ­ rychlost: 28,7 km/s
Rektascenze radiantu: 10:27 (157,0°)
Deklinace radiantu: 5,5°
MeteorickĂ˝ roj: sporadickĂ˝
Elementy dráhy meteoroidu:
Vzdálenost v periheliu: 0,430 AU
Excentricita: 0,782
Sklon dráhy: 3,9°
Délka vzestupného uzlu: 148,3°
Argument perihelia: 106,7°
Střední anomálie: 344,2°
Epocha: 2024 FEB 17 18:43:19
orbit plot

NeinteraktivnĂ­ graf | InteraktivnĂ­ graf

position vs time
speed and acceleration