🇳🇴 🇬🇧 🇩🇪 🇨🇿 🇫🇮

Meteor Andenesin yllä 2024-02-23 04:27:58 UTC

KML-tiedosto  |  Interaktiivinen kartta

Kartta näyttää meteorin suuntahavainnot. Vaaleammat viivat näyttävät suunnat havaintoasemilta meteorin ilmestyessä, ja tummemmat viivat näyttävät, missä se viimeksi nähtiin. Sininen nuoli näyttää meteorin näkyvän lennon.

static map
height profile
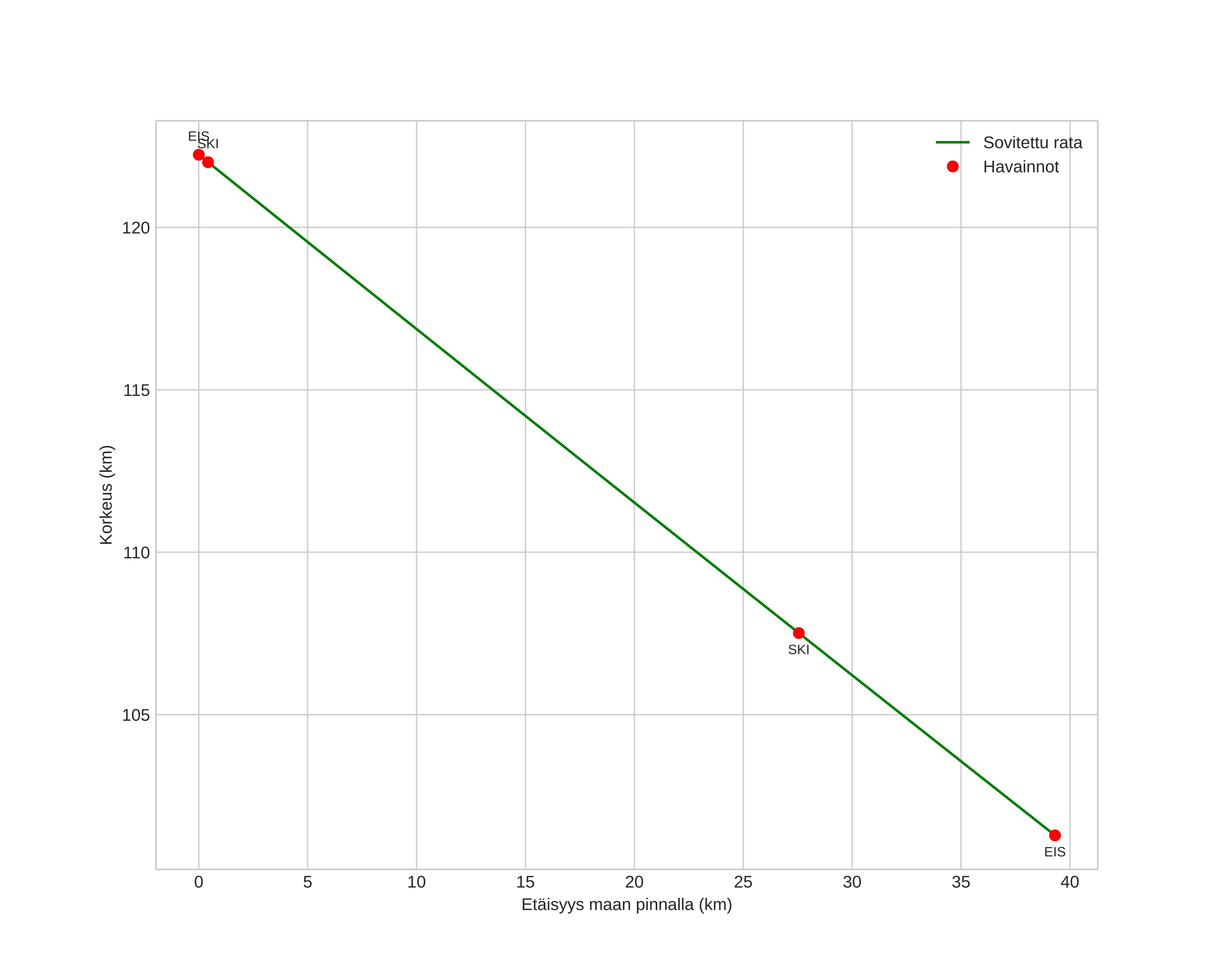
Meteorin ilmakehärata:
Alkukorkeus: 115,4 km
Loppukorkeus: 98,5 km
Alkupiste: 70,246N 15,708E
Loppupiste: 70,284N 16,683E
Suunta: 82,9°
Kallistuskulma: 24,6°
Tulonopeus: 40,5 km/s
Radiantin R,A,: 10:38 (159,6°)
Radiantin Dekl,: 19,4°
Meteoriparvi: Sporadinen
Meteoroidin rataelementit:
Perihelietäisyys: 0,452 AU
Eksentrisyys: 1,308
Inklinaatio: 12,8°
Nousevan solmun pituus: 333,7°
Perihelin argumentti: 267,6°
Keskianomalia: -18,0°
Epookki: 2024 FEB 23 04:27:58
orbit plot

Ei-interaktiivinen kuvaaja | Interaktiivinen kuvaaja

position vs time
speed and acceleration