🇳🇴 🇬🇧 🇩🇪 🇨🇿 🇫🇮

Meteor, poloha: Balestrand 2024-02-26 23:54:46 UTC

Soubor KML  |  InteraktivnĂ­ mapa

Mapa zobrazuje dráhy meteoru. Světlejší čáry ukazují směry od pozorovacích stanic při objevení se meteoru a tmavší čáry, kde byl naposledy viděn. Modrá šipka značí viditelnou dráhu meteoru.

static map
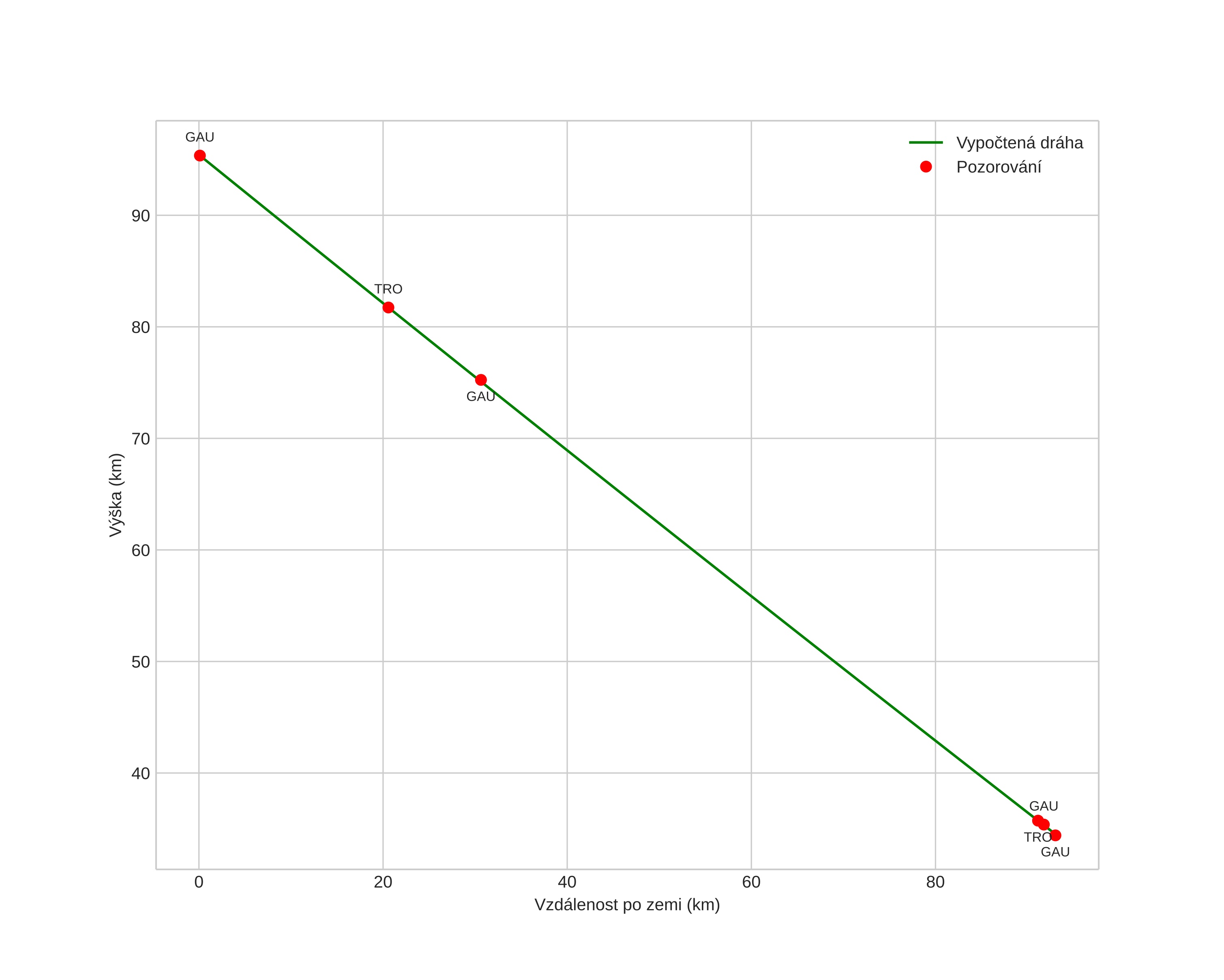
height profile
Atmosférická dráha meteoru:
Počáteční výška: 95,3 km
Konečná výška: 34,5 km
Počáteční poloha: 60,394N 6,668E
Konečná poloha: 61,229N 6,528E
Směr: 355,4°
Sklon: 33,1°
VstupnĂ­ rychlost: 29,1 km/s
Rektascenze radiantu: 10:59 (164,8°)
Deklinace radiantu: 1,3°
MeteorickĂ˝ roj: sporadickĂ˝
Elementy dráhy meteoroidu:
Vzdálenost v periheliu: 0,429 AU
Excentricita: 0,803
Sklon dráhy: 4,9°
Délka vzestupného uzlu: 157,6°
Argument perihelia: 105,8°
Střední anomálie: 346,5°
Epocha: 2024 FEB 26 23:54:46
orbit plot

NeinteraktivnĂ­ graf | InteraktivnĂ­ graf

position vs time
speed and acceleration