🇳🇴 🇬🇧 🇩🇪 🇨🇿 🇫🇮

Meteor, poloha: Myre 2024-03-02 03:09:18 UTC

Soubor KML  |  InteraktivnĂ­ mapa

Mapa zobrazuje dráhy meteoru. Světlejší čáry ukazují směry od pozorovacích stanic při objevení se meteoru a tmavší čáry, kde byl naposledy viděn. Modrá šipka značí viditelnou dráhu meteoru.

static map
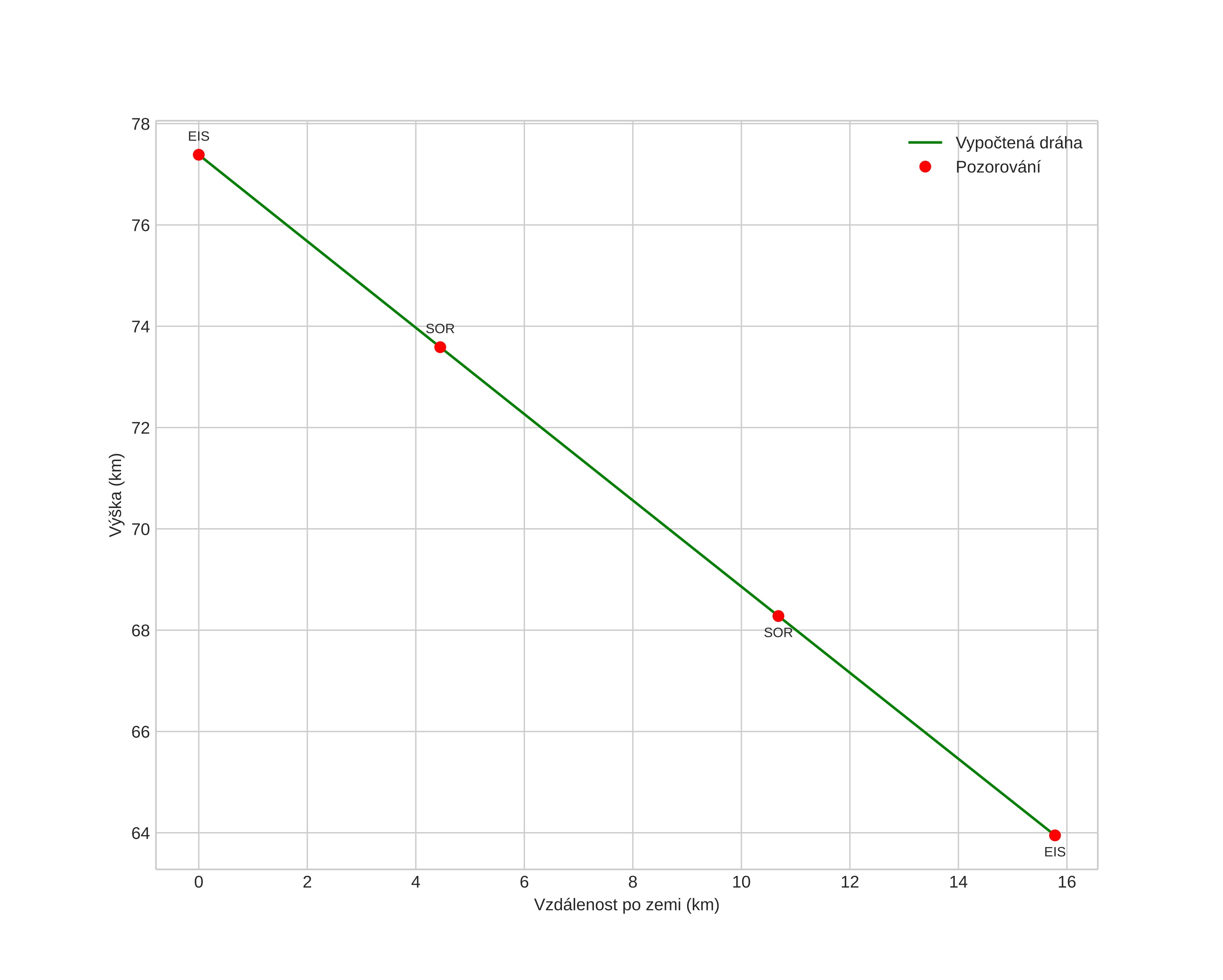
height profile
Atmosférická dráha meteoru:
Počáteční výška: 77,4 km
Konečná výška: 63,9 km
Počáteční poloha: 69,960N 14,718E
Konečná poloha: 69,861N 14,423E
Směr: 225,8°
Sklon: 40,6°
VstupnĂ­ rychlost: 17,8 km/s
Rektascenze radiantu: 22:51 (342,9°)
Deklinace radiantu: 46,7°
MeteorickĂ˝ roj: sporadickĂ˝
Elementy dráhy meteoroidu:
Vzdálenost v periheliu: 0,914 AU
Excentricita: 0,551
Sklon dráhy: 16,8°
Délka vzestupného uzlu: 341,7°
Argument perihelia: 141,4°
Střední anomálie: 9,8°
Epocha: 2024 MAR 02 03:09:18
orbit plot

NeinteraktivnĂ­ graf | InteraktivnĂ­ graf

position vs time
speed and acceleration