🇳🇴 🇬🇧 🇩🇪 🇨🇿 🇫🇮

Meteor, poloha: Alta 2024-03-04 00:57:41 UTC

Soubor KML  |  InteraktivnĂ­ mapa

Mapa zobrazuje dráhy meteoru. Světlejší čáry ukazují směry od pozorovacích stanic při objevení se meteoru a tmavší čáry, kde byl naposledy viděn. Modrá šipka značí viditelnou dráhu meteoru.

static map
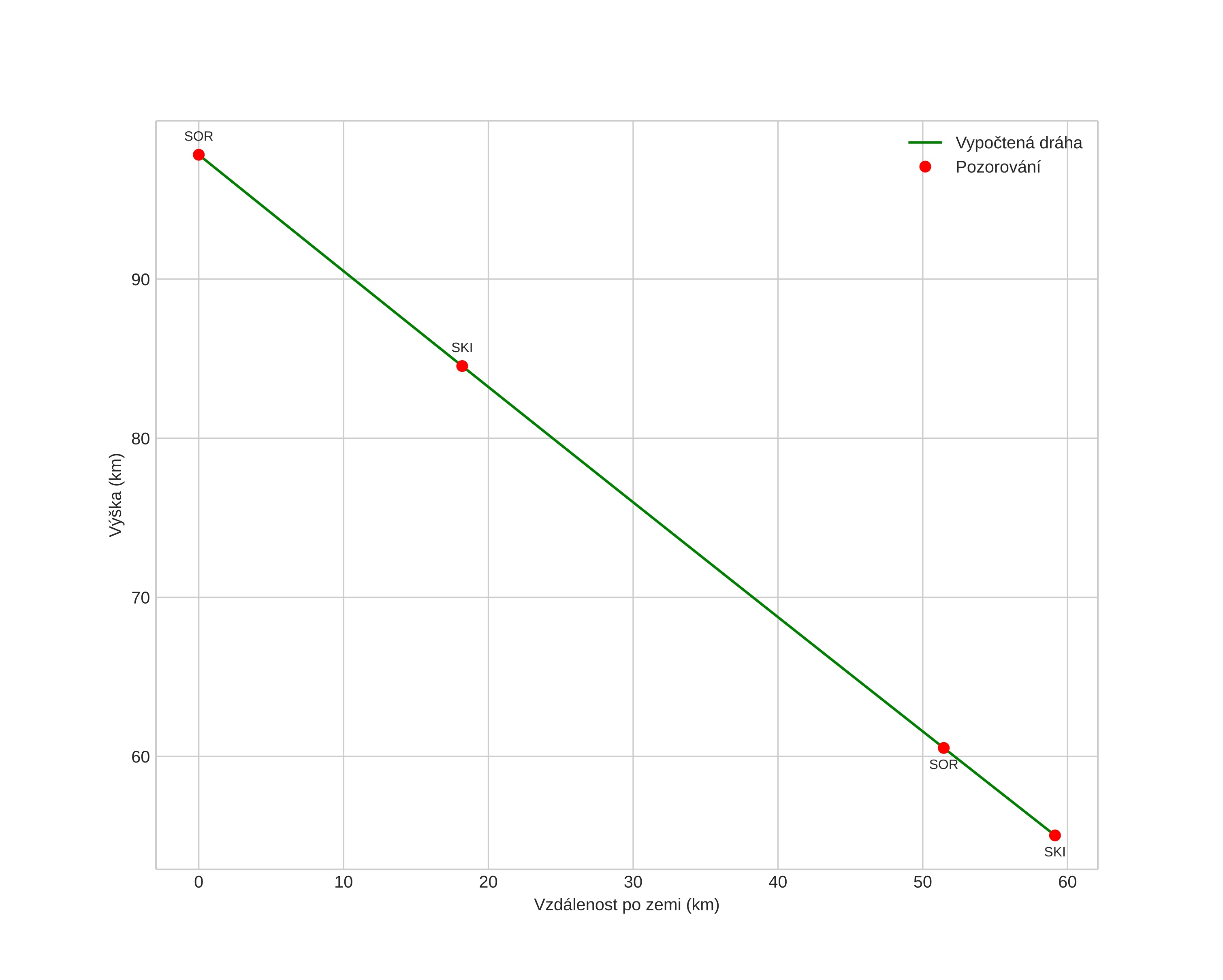
height profile
Atmosférická dráha meteoru:
Počáteční výška: 92,0 km
Konečná výška: 51,4 km
Počáteční poloha: 69,480N 25,125E
Konečná poloha: 69,370N 23,712E
Směr: 258,1°
Sklon: 35,7°
VstupnĂ­ rychlost: 38,2 km/s
Rektascenze radiantu: 19:14 (288,7°)
Deklinace radiantu: 36,1°
MeteorickĂ˝ roj: sporadickĂ˝
Elementy dráhy meteoroidu:
Vzdálenost v periheliu: 0,810 AU
Excentricita: 0,663
Sklon dráhy: 62,0°
Délka vzestupného uzlu: 343,6°
Argument perihelia: 122,7°
Střední anomálie: 10,0°
Epocha: 2024 MAR 04 00:57:41
orbit plot

NeinteraktivnĂ­ graf | InteraktivnĂ­ graf

position vs time
speed and acceleration