🇳🇴 🇬🇧 🇩🇪 🇨🇿 🇫🇮

Meteor Inarin yllä 2024-03-04 20:35:54 UTC

KML-tiedosto  |  Interaktiivinen kartta

Kartta näyttää meteorin suuntahavainnot. Vaaleammat viivat näyttävät suunnat havaintoasemilta meteorin ilmestyessä, ja tummemmat viivat näyttävät, missä se viimeksi nähtiin. Sininen nuoli näyttää meteorin näkyvän lennon.

static map
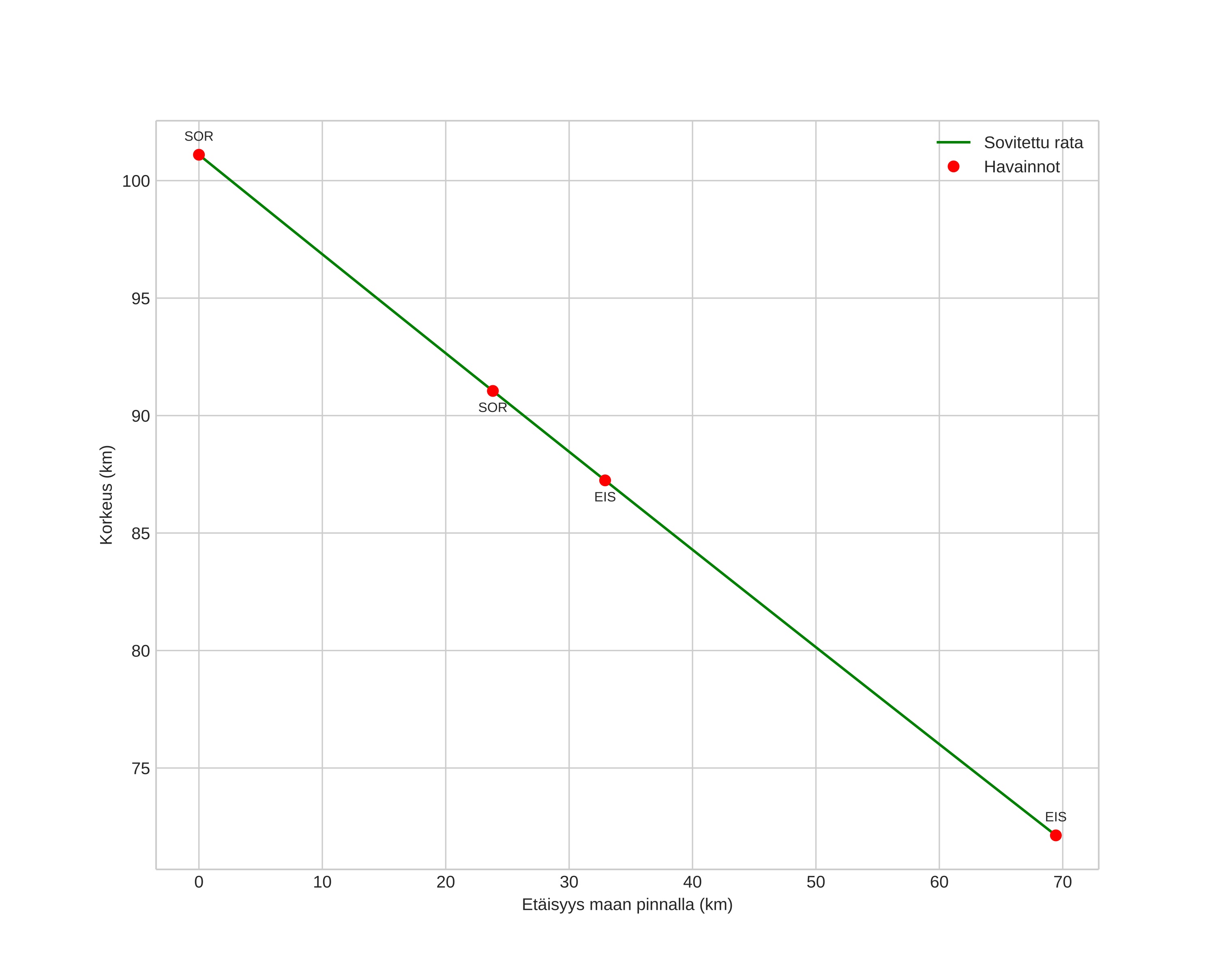
height profile
Meteorin ilmakehärata:
Alkukorkeus: 98,6 km
Loppukorkeus: 79,5 km
Alkupiste: 68,192N 27,111E
Loppupiste: 68,513N 26,420E
Suunta: 321,8°
Kallistuskulma: 22,8°
Tulonopeus: 38,4 km/s
Radiantin R,A,: 11:35 (173,9°)
Radiantin Dekl,: 3,7°
Meteoriparvi: Sporadinen
Meteoroidin rataelementit:
Perihelietäisyys: 0,330 AU
Eksentrisyys: 1,036
Inklinaatio: 1,4°
Nousevan solmun pituus: 344,4°
Perihelin argumentti: 288,1°
Keskianomalia: -1,3°
Epookki: 2024 MAR 04 20:35:54
orbit plot

Ei-interaktiivinen kuvaaja | Interaktiivinen kuvaaja

position vs time
speed and acceleration