🇳🇴 🇬🇧 🇩🇪 🇨🇿 🇫🇮

Meteor, poloha: Storslett 2024-03-04 22:45:23 UTC

Soubor KML  |  InteraktivnĂ­ mapa

Mapa zobrazuje dráhy meteoru. Světlejší čáry ukazují směry od pozorovacích stanic při objevení se meteoru a tmavší čáry, kde byl naposledy viděn. Modrá šipka značí viditelnou dráhu meteoru.

static map
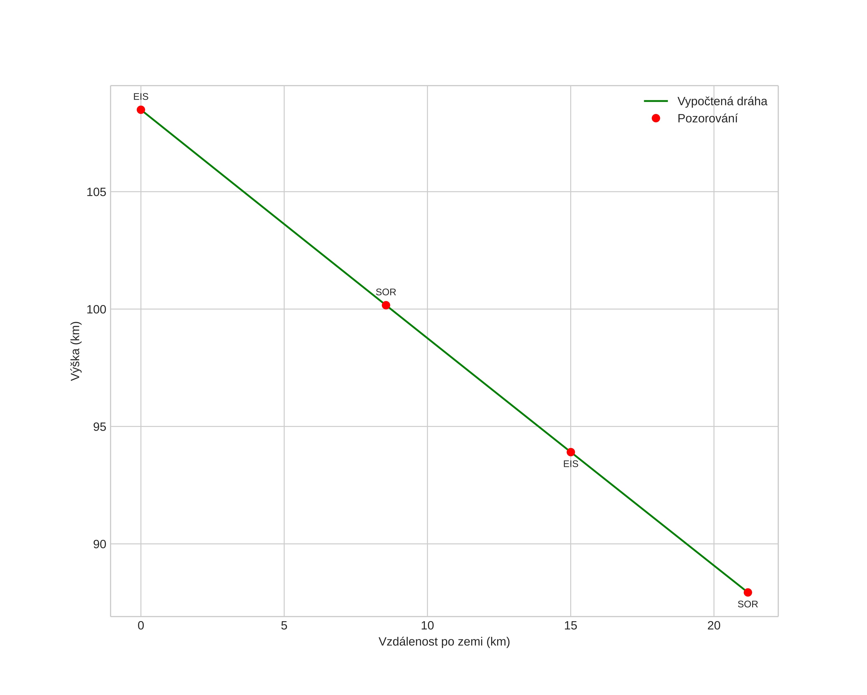
height profile
Atmosférická dráha meteoru:
Počáteční výška: 106,6 km
Konečná výška: 91,6 km
Počáteční poloha: 69,306N 21,153E
Konečná poloha: 69,501N 21,382E
Směr: 22,4°
Sklon: 32,7°
VstupnĂ­ rychlost: 21,6 km/s
Rektascenze radiantu: 09:39 (144,9°)
Deklinace radiantu: 8,7°
MeteorickĂ˝ roj: sporadickĂ˝
Elementy dráhy meteoroidu:
Vzdálenost v periheliu: 0,799 AU
Excentricita: 0,847
Sklon dráhy: 2,6°
Délka vzestupného uzlu: 164,5°
Argument perihelia: 54,8°
Střední anomálie: 357,2°
Epocha: 2024 MAR 04 22:45:23
orbit plot

NeinteraktivnĂ­ graf | InteraktivnĂ­ graf

position vs time
speed and acceleration