🇳🇴 🇬🇧 🇩🇪 🇨🇿 🇫🇮

Meteor, poloha: Lenhovda 2024-03-08 23:09:12 UTC

Soubor KML  |  InteraktivnĂ­ mapa

Mapa zobrazuje dráhy meteoru. Světlejší čáry ukazují směry od pozorovacích stanic při objevení se meteoru a tmavší čáry, kde byl naposledy viděn. Modrá šipka značí viditelnou dráhu meteoru.

static map
height profile
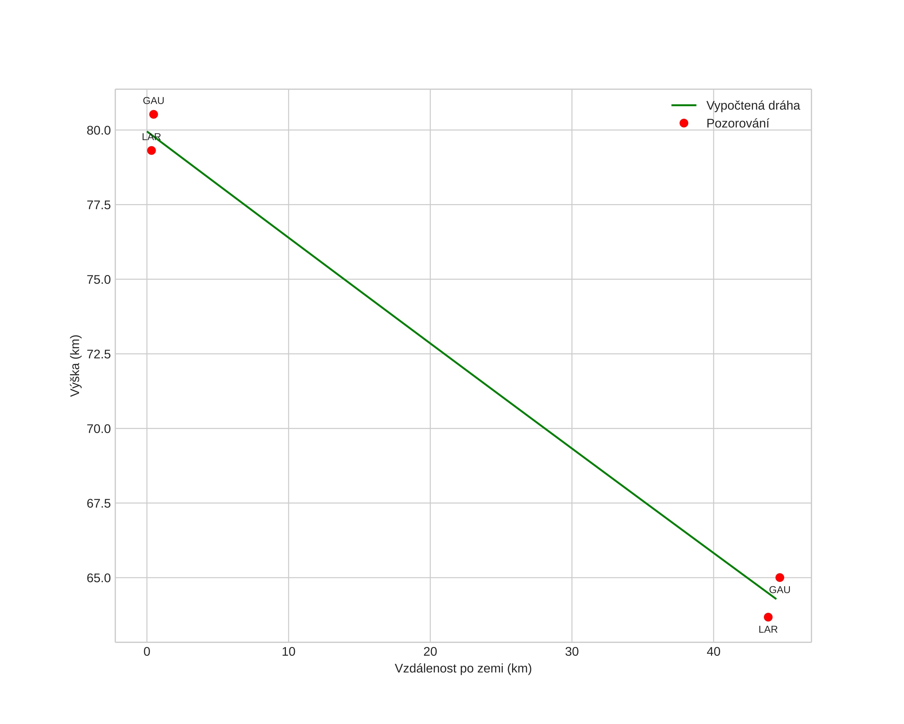
Atmosférická dráha meteoru:
Počáteční výška: 86,5 km
Konečná výška: 73,3 km
Počáteční poloha: 57,592N 15,158E
Konečná poloha: 56,982N 15,238E
Směr: 175,9°
Sklon: 11,0°
VstupnĂ­ rychlost: 25,1 km/s
Rektascenze radiantu: 23:40 (355,1°)
Deklinace radiantu: 38,0°
MeteorickĂ˝ roj: sporadickĂ˝
Elementy dráhy meteoroidu:
Vzdálenost v periheliu: 0,846 AU
Excentricita: 1,086
Sklon dráhy: 19,5°
Délka vzestupného uzlu: 348,5°
Argument perihelia: 135,8°
Střední anomálie: 0,9°
Epocha: 2024 MAR 08 23:09:12
orbit plot

NeinteraktivnĂ­ graf | InteraktivnĂ­ graf

position vs time
speed and acceleration