🇳🇴 🇬🇧 🇩🇪 🇨🇿 🇫🇮

Meteor, poloha: Melhus 2024-03-11 23:21:30 UTC

Soubor KML  |  InteraktivnĂ­ mapa

Mapa zobrazuje dráhy meteoru. Světlejší čáry ukazují směry od pozorovacích stanic při objevení se meteoru a tmavší čáry, kde byl naposledy viděn. Modrá šipka značí viditelnou dráhu meteoru.

static map
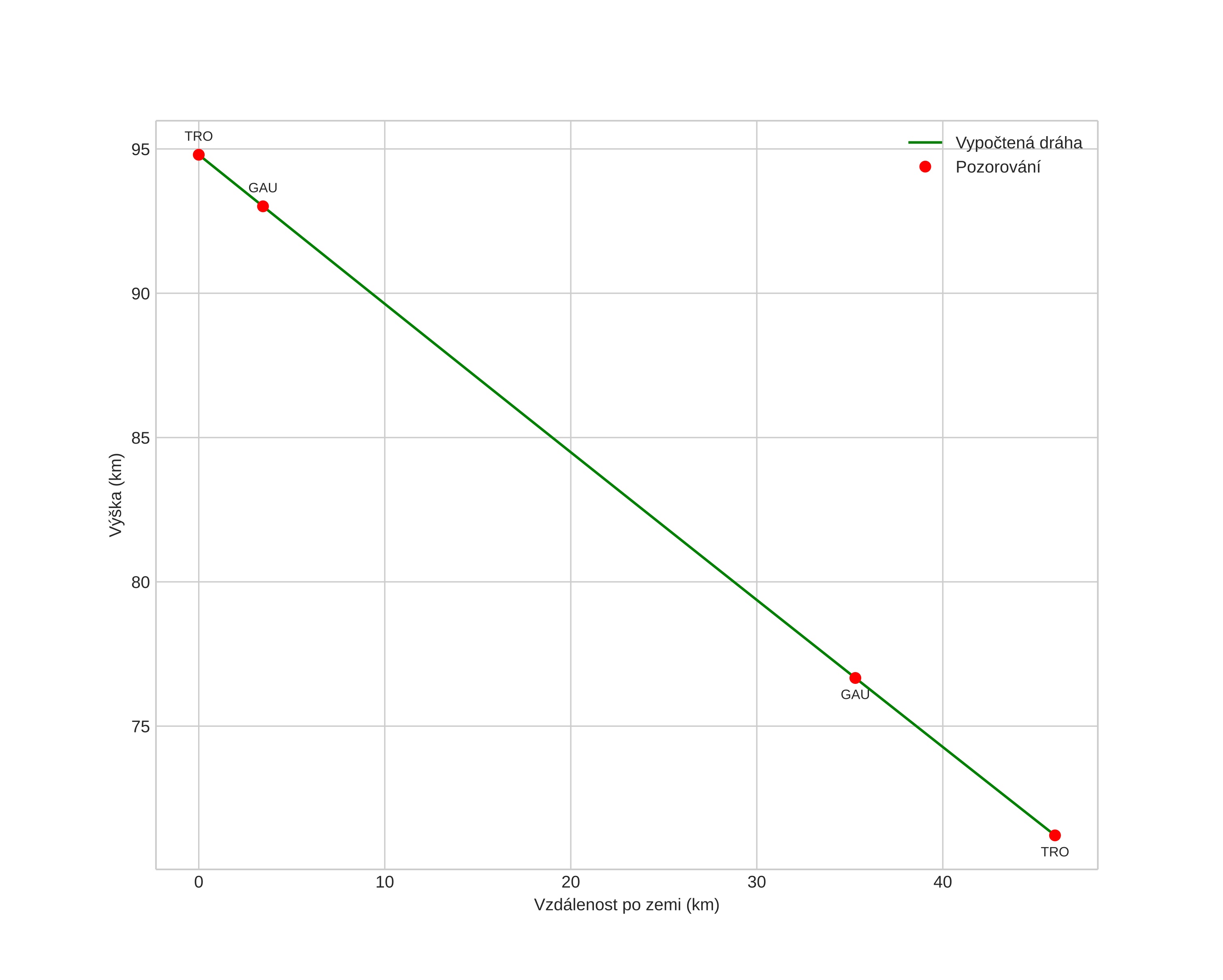
height profile
Atmosférická dráha meteoru:
Počáteční výška: 94,9 km
Konečná výška: 71,2 km
Počáteční poloha: 62,832N 10,499E
Konečná poloha: 63,223N 10,190E
Směr: 340,4°
Sklon: 27,2°
VstupnĂ­ rychlost: 36,0 km/s
Rektascenze radiantu: 12:31 (187,9°)
Deklinace radiantu: -0,3°
MeteorickĂ˝ roj: sporadickĂ˝
Elementy dráhy meteoroidu:
Vzdálenost v periheliu: 0,251 AU
Excentricita: 0,913
Sklon dráhy: 4,7°
Délka vzestupného uzlu: 351,5°
Argument perihelia: 304,5°
Střední anomálie: 352,3°
Epocha: 2024 MAR 11 23:21:30
orbit plot

NeinteraktivnĂ­ graf | InteraktivnĂ­ graf

position vs time
speed and acceleration