🇳🇴 🇬🇧 🇩🇪 🇨🇿 🇫🇮

Meteor, poloha: Burfjord 2024-03-13 18:43:19 UTC

Soubor KML  |  InteraktivnĂ­ mapa

Mapa zobrazuje dráhy meteoru. Světlejší čáry ukazují směry od pozorovacích stanic při objevení se meteoru a tmavší čáry, kde byl naposledy viděn. Modrá šipka značí viditelnou dráhu meteoru.

static map
height profile
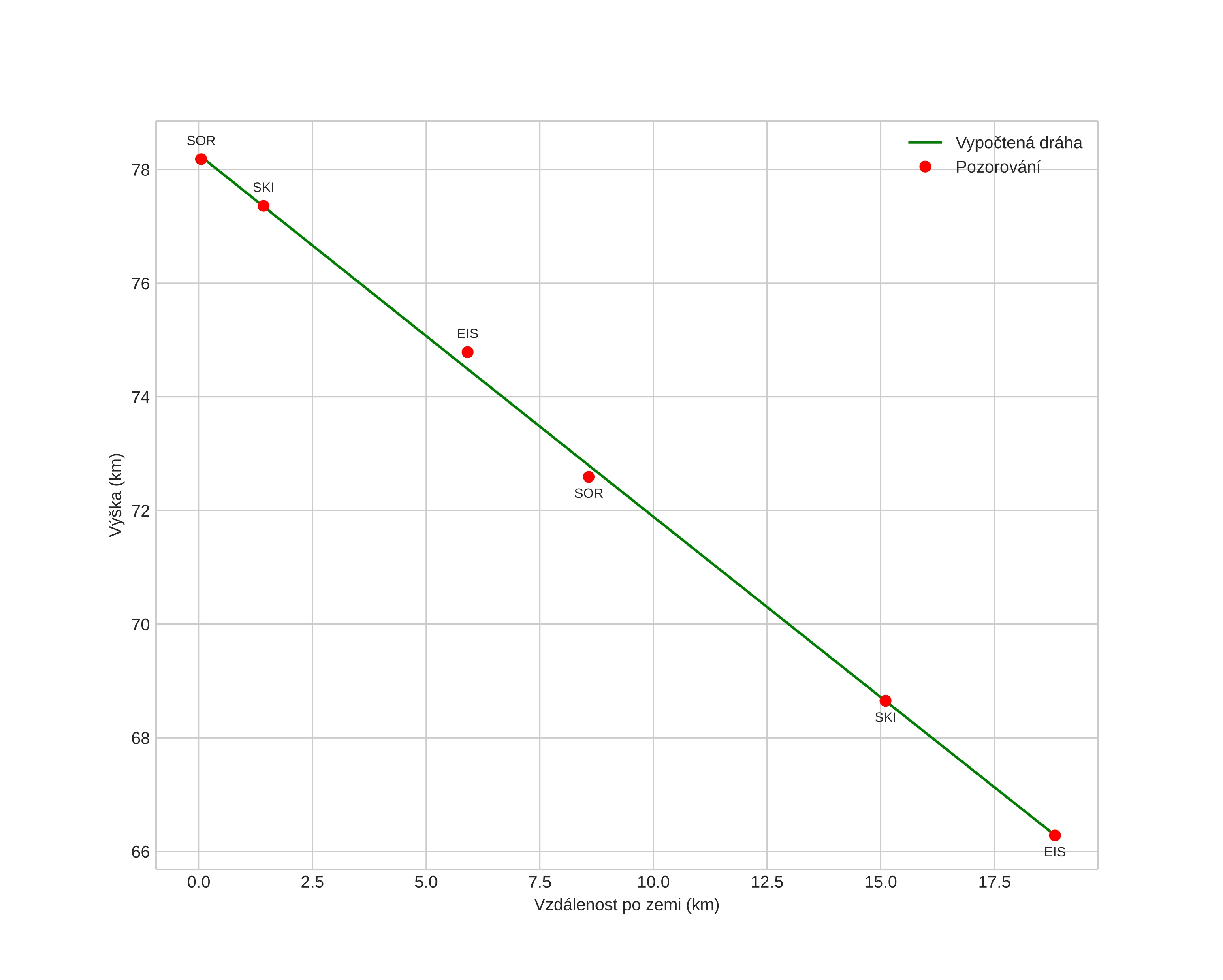
Atmosférická dráha meteoru:
Počáteční výška: 78,0 km
Konečná výška: 66,0 km
Počáteční poloha: 68,971N 21,868E
Konečná poloha: 69,133N 21,703E
Směr: 340,0°
Sklon: 32,1°
VstupnĂ­ rychlost: 14,1 km/s
Rektascenze radiantu: 08:50 (132,5°)
Deklinace radiantu: -2,8°
MeteorickĂ˝ roj: sporadickĂ˝
Elementy dráhy meteoroidu:
Vzdálenost v periheliu: 0,948 AU
Excentricita: 0,441
Sklon dráhy: 4,8°
Délka vzestupného uzlu: 173,3°
Argument perihelia: 32,0°
Střední anomálie: 348,5°
Epocha: 2024 MAR 13 18:43:19
orbit plot

NeinteraktivnĂ­ graf | InteraktivnĂ­ graf

position vs time
speed and acceleration