🇳🇴 🇬🇧 🇩🇪 🇨🇿 🇫🇮

Meteor, poloha: Tromsø 2024-03-26 02:38:40 UTC

Soubor KML  |  InteraktivnĂ­ mapa

Mapa zobrazuje dráhy meteoru. Světlejší čáry ukazují směry od pozorovacích stanic při objevení se meteoru a tmavší čáry, kde byl naposledy viděn. Modrá šipka značí viditelnou dráhu meteoru.

static map
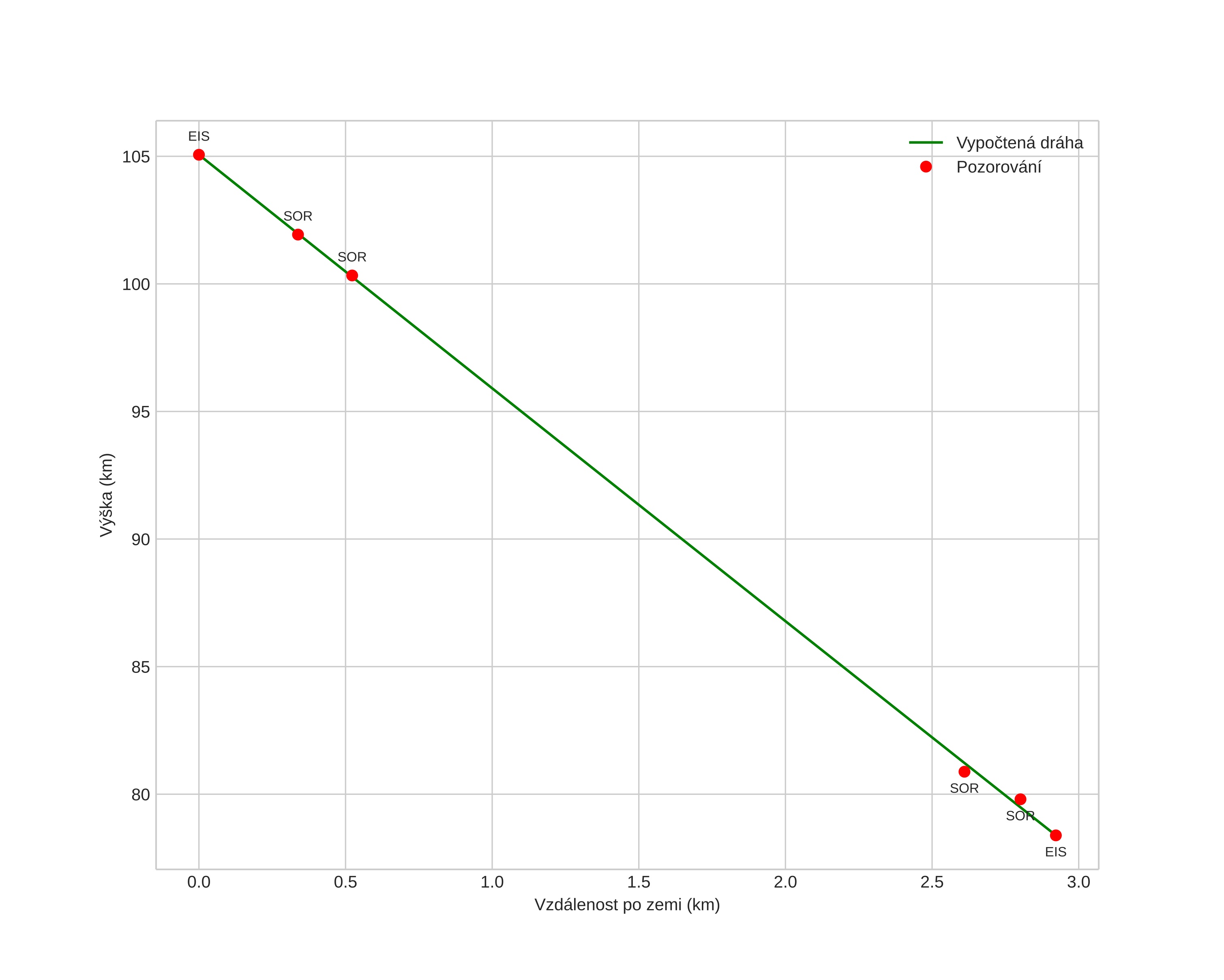
height profile
Atmosférická dráha meteoru:
Počáteční výška: 105,1 km
Konečná výška: 78,4 km
Počáteční poloha: 69,451N 18,823E
Konečná poloha: 69,465N 18,760E
Směr: 301,6°
Sklon: 83,8°
VstupnĂ­ rychlost: 28,9 km/s
Rektascenze radiantu: 16:59 (255,0°)
Deklinace radiantu: 65,4°
MeteorickĂ˝ roj: sporadickĂ˝
Elementy dráhy meteoroidu:
Vzdálenost v periheliu: 0,994 AU
Excentricita: 0,804
Sklon dráhy: 41,5°
Délka vzestupného uzlu: 5,6°
Argument perihelia: 187,7°
Střední anomálie: 359,5°
Epocha: 2024 MAR 26 02:38:40
orbit plot

NeinteraktivnĂ­ graf | InteraktivnĂ­ graf

position vs time
speed and acceleration

Sorreisa (SOR) cam4

gnomonic
Videa
• Původní
Obrázky
• Původní
Textové soubory
• Detekce
• Pozorování
• Souřadnice
• Chybová hlášení
• Protokol
Jasnost