🇳🇴 🇬🇧 🇩🇪 🇨🇿 🇫🇮

Meteor, poloha: Utsjoki 2024-03-27 00:07:59 UTC

Soubor KML  |  InteraktivnĂ­ mapa

Mapa zobrazuje dráhy meteoru. Světlejší čáry ukazují směry od pozorovacích stanic při objevení se meteoru a tmavší čáry, kde byl naposledy viděn. Modrá šipka značí viditelnou dráhu meteoru.

static map
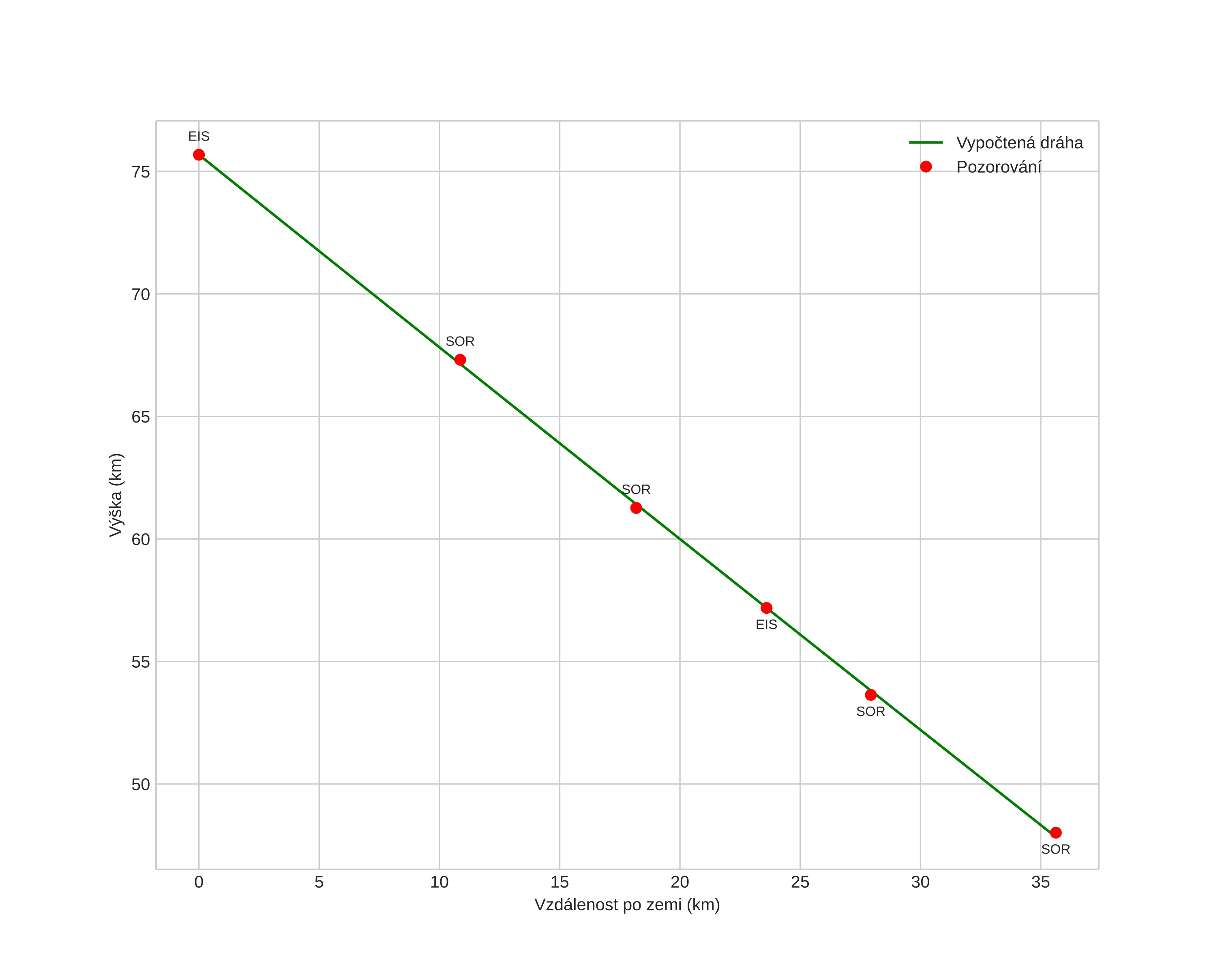
height profile
Atmosférická dráha meteoru:
Počáteční výška: 78,6 km
Konečná výška: 57,9 km
Počáteční poloha: 69,818N 26,275E
Konečná poloha: 69,774N 27,115E
Směr: 98,3°
Sklon: 32,4°
VstupnĂ­ rychlost: 17,9 km/s
Rektascenze radiantu: 08:16 (124,2°)
Deklinace radiantu: 25,9°
MeteorickĂ˝ roj: sporadickĂ˝
Elementy dráhy meteoroidu:
Vzdálenost v periheliu: 0,983 AU
Excentricita: 1,088
Sklon dráhy: 2,0°
Délka vzestupného uzlu: 6,5°
Argument perihelia: 193,5°
Střední anomálie: -0,2°
Epocha: 2024 MAR 27 00:07:59
orbit plot

NeinteraktivnĂ­ graf | InteraktivnĂ­ graf

position vs time
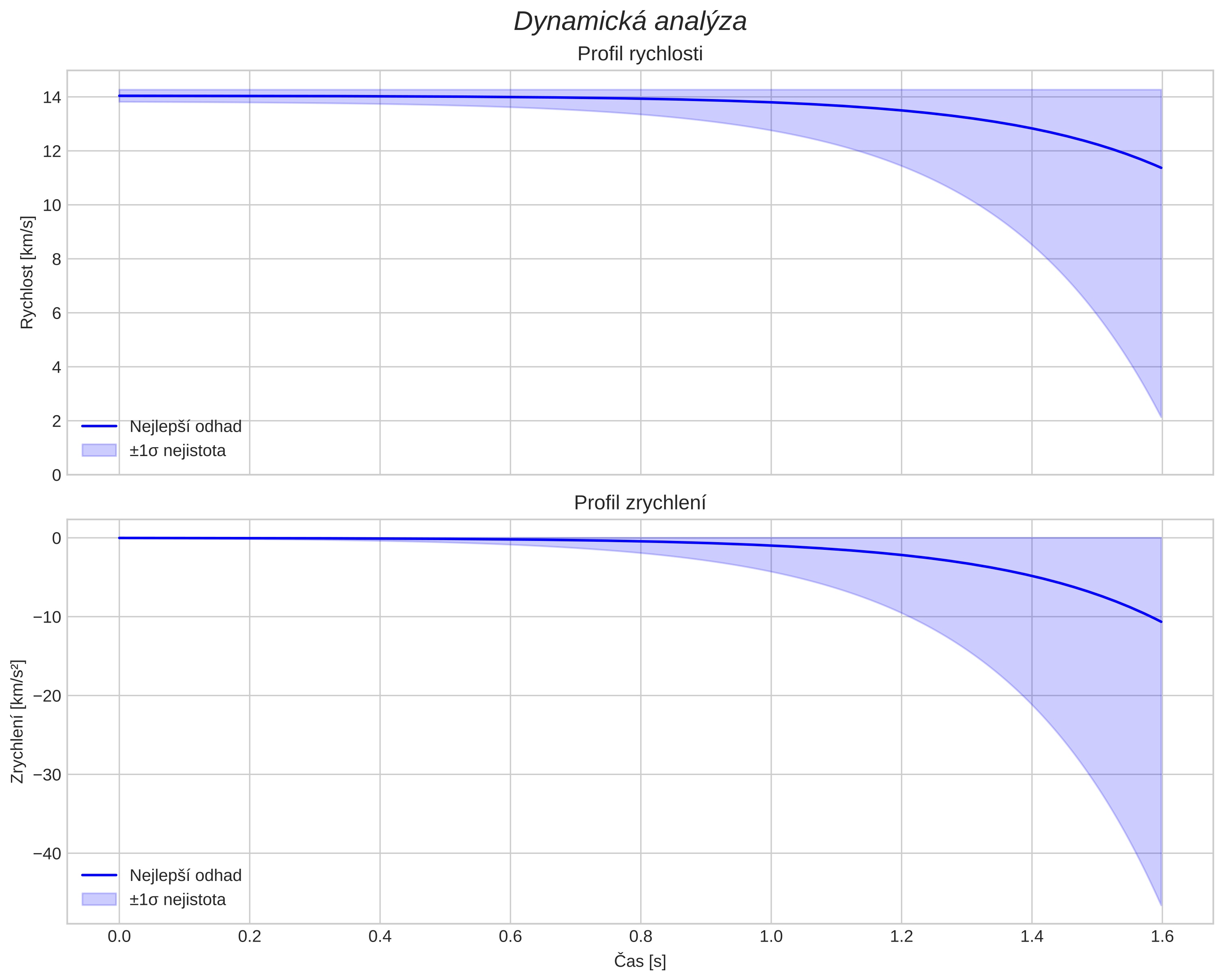
speed and acceleration