🇳🇴 🇬🇧 🇩🇪 🇨🇿 🇫🇮

Meteor, poloha: Andenes 2024-03-28 23:43:53 UTC

Soubor KML  |  InteraktivnĂ­ mapa

Mapa zobrazuje dráhy meteoru. Světlejší čáry ukazují směry od pozorovacích stanic při objevení se meteoru a tmavší čáry, kde byl naposledy viděn. Modrá šipka značí viditelnou dráhu meteoru.

static map
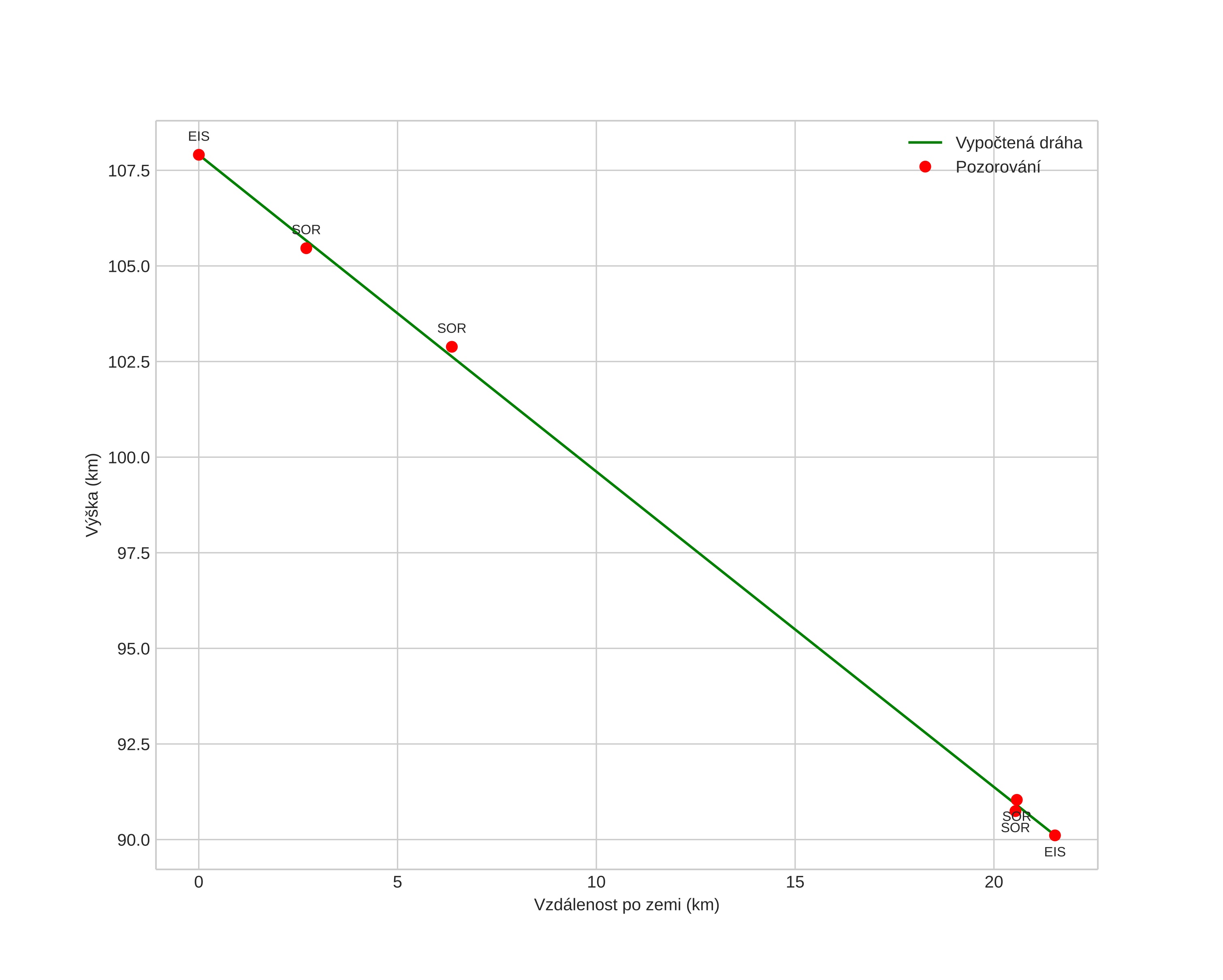
height profile
Atmosférická dráha meteoru:
Počáteční výška: 107,6 km
Konečná výška: 89,4 km
Počáteční poloha: 69,823N 17,078E
Konečná poloha: 69,772N 16,525E
Směr: 255,2°
Sklon: 39,6°
VstupnĂ­ rychlost: 45,7 km/s
Rektascenze radiantu: 19:09 (287,4°)
Deklinace radiantu: 41,1°
MeteorickĂ˝ roj: sporadickĂ˝
Elementy dráhy meteoroidu:
Vzdálenost v periheliu: 0,963 AU
Excentricita: 0,945
Sklon dráhy: 74,4°
Délka vzestupného uzlu: 8,4°
Argument perihelia: 157,9°
Střední anomálie: 0,2°
Epocha: 2024 MAR 28 23:43:53
orbit plot

NeinteraktivnĂ­ graf | InteraktivnĂ­ graf

position vs time
speed and acceleration