🇳🇴 🇬🇧 🇩🇪 🇨🇿 🇫🇮

Meteor, poloha: Ă…tvidaberg 2024-04-01 03:11:43 UTC

Soubor KML  |  InteraktivnĂ­ mapa

Mapa zobrazuje dráhy meteoru. Světlejší čáry ukazují směry od pozorovacích stanic při objevení se meteoru a tmavší čáry, kde byl naposledy viděn. Modrá šipka značí viditelnou dráhu meteoru.

static map
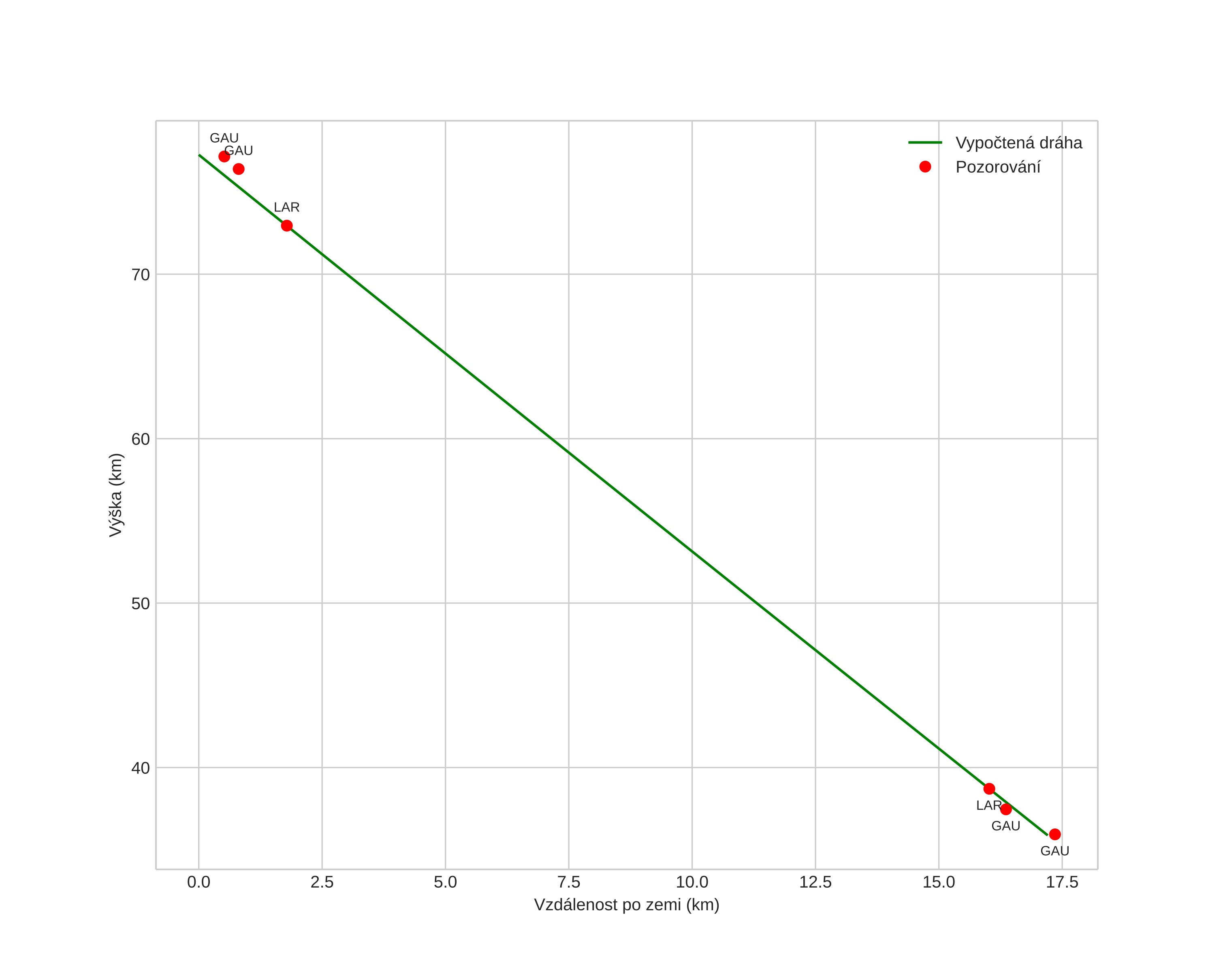
height profile
Atmosférická dráha meteoru:
Počáteční výška: 77,1 km
Konečná výška: 37,2 km
Počáteční poloha: 58,248N 16,264E
Konečná poloha: 58,236N 16,037E
Směr: 264,1°
Sklon: 71,5°
VstupnĂ­ rychlost: 24,9 km/s
Rektascenze radiantu: 19:14 (288,5°)
Deklinace radiantu: 55,1°
MeteorickĂ˝ roj: sporadickĂ˝
Elementy dráhy meteoroidu:
Vzdálenost v periheliu: 0,970 AU
Excentricita: 0,277
Sklon dráhy: 40,4°
Délka vzestupného uzlu: 11,6°
Argument perihelia: 150,0°
Střední anomálie: 16,6°
Epocha: 2024 APR 01 03:11:43
orbit plot

NeinteraktivnĂ­ graf | InteraktivnĂ­ graf

position vs time
speed and acceleration