🇳🇴 🇬🇧 🇩🇪 🇨🇿 🇫🇮

Meteor über Andenes 2024-04-02 00:10:17 UTC

Eiscat – 2
Eiscat – 2
Sørreisa – 3
Sørreisa – 3

KML-Datei  | Interaktive Karte

map

Die Karte zeigt die Peilungen für den Meteor. Die helleren Linien zeigen die Richtungen von den Beobachtungsorten beim Erscheinen des Meteors, und die dunkleren Linien, wo er zuletzt gesehen wurde. Der blaue Pfeil zeigt die sichtbare Bahn des Meteors.

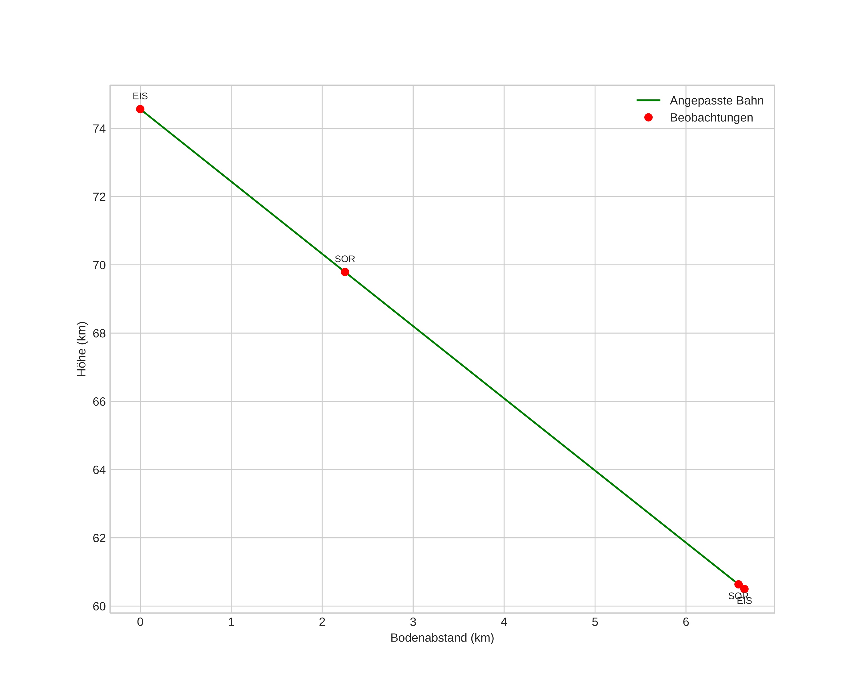
height profile
Atmosphärische Bahn des Meteors:
Anfangshöhe: 75,3 km
Endhöhe: 59,1 km
Startposition: 69,648N 16,006E
Endposition: 69,582N 16,009E
Richtung: 179,0°
Neigungswinkel: 65,8°
Eintrittsgeschwindigkeit: 19,1 km/s
Rektaszension des Radianten: 02:29 (37,3°)
Deklination des Radianten: 83,6°
Meteorstrom: sporadisch
Bahnelemente des Meteoroiden:
Periheldistanz: 0,991 AU
Exzentrizität: 0,728
Inklination: 20,7°
Länge des aufsteigenden Knotens: 12,4°
Argument des Perihels: 168,2°
Mittlere Anomalie: 1,3°
Epoche: 2024 APR 02 00:10:17
orbit

Nicht-interaktives Diagramm | Interaktives Diagramm

position vs time
speed & acceleration