🇳🇴 🇬🇧 🇩🇪 🇨🇿 🇫🇮

Meteor, poloha: Pajala 2024-04-03 22:30:44 UTC

Soubor KML  |  InteraktivnĂ­ mapa

Mapa zobrazuje dráhy meteoru. Světlejší čáry ukazují směry od pozorovacích stanic při objevení se meteoru a tmavší čáry, kde byl naposledy viděn. Modrá šipka značí viditelnou dráhu meteoru.

static map
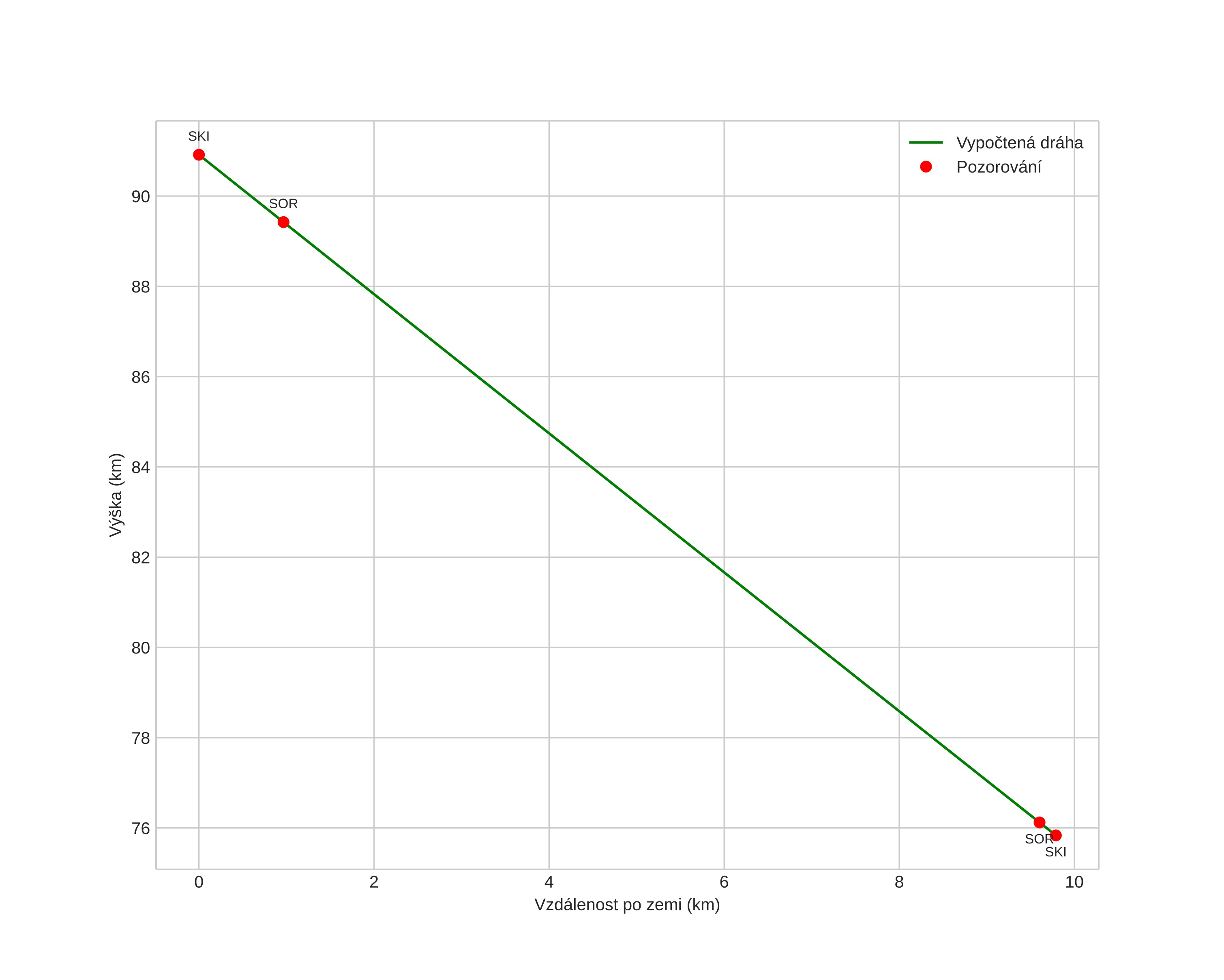
height profile
Atmosférická dráha meteoru:
Počáteční výška: 90,9 km
Konečná výška: 75,2 km
Počáteční poloha: 67,558N 23,455E
Konečná poloha: 67,483N 23,344E
Směr: 209,7°
Sklon: 58,7°
VstupnĂ­ rychlost: 24,6 km/s
Rektascenze radiantu: 20:31 (307,8°)
Deklinace radiantu: 73,2°
MeteorickĂ˝ roj: sporadickĂ˝
Elementy dráhy meteoroidu:
Vzdálenost v periheliu: 0,979 AU
Excentricita: 0,732
Sklon dráhy: 33,2°
Délka vzestupného uzlu: 14,3°
Argument perihelia: 161,9°
Střední anomálie: 1,9°
Epocha: 2024 APR 03 22:30:44
orbit plot

NeinteraktivnĂ­ graf | InteraktivnĂ­ graf

position vs time
speed and acceleration