🇳🇴 🇬🇧 🇩🇪 🇨🇿 🇫🇮

Meteor, poloha: Storsteinnes 2024-04-04 22:46:08 UTC

Soubor KML  |  InteraktivnĂ­ mapa

Mapa zobrazuje dráhy meteoru. Světlejší čáry ukazují směry od pozorovacích stanic při objevení se meteoru a tmavší čáry, kde byl naposledy viděn. Modrá šipka značí viditelnou dráhu meteoru.

static map
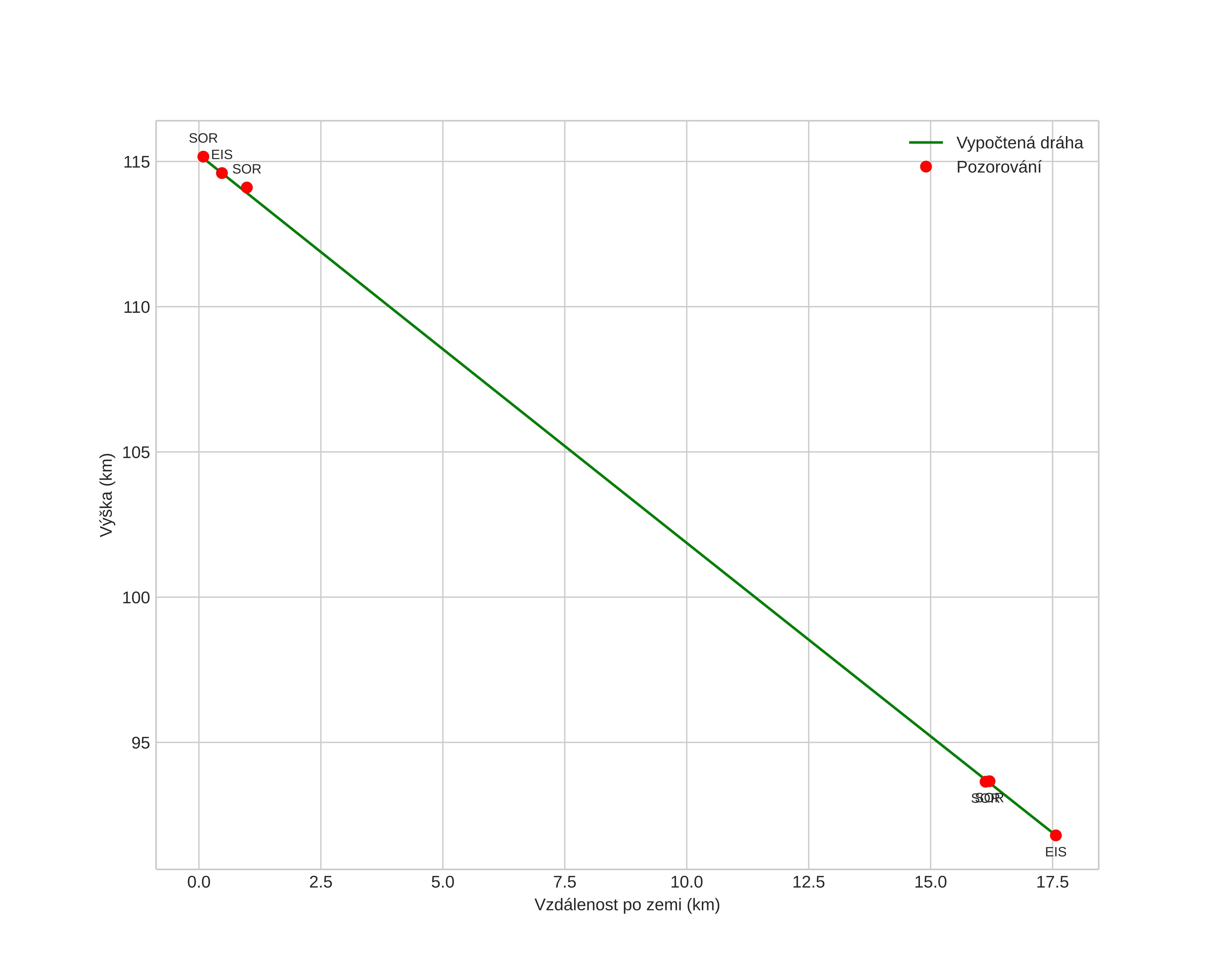
height profile
Atmosférická dráha meteoru:
Počáteční výška: 115,7 km
Konečná výška: 91,6 km
Počáteční poloha: 69,610N 19,715E
Konečná poloha: 69,559N 19,276E
Směr: 251,6°
Sklon: 53,3°
VstupnĂ­ rychlost: 36,2 km/s
Rektascenze radiantu: 18:20 (275,2°)
Deklinace radiantu: 54,2°
MeteorickĂ˝ roj: sporadickĂ˝
Elementy dráhy meteoroidu:
Vzdálenost v periheliu: 1,000 AU
Excentricita: 0,831
Sklon dráhy: 56,5°
Délka vzestupného uzlu: 15,3°
Argument perihelia: 178,9°
Střední anomálie: 0,1°
Epocha: 2024 APR 04 22:46:08
orbit plot

NeinteraktivnĂ­ graf | InteraktivnĂ­ graf

position vs time
speed and acceleration