🇳🇴 🇬🇧 🇩🇪 🇨🇿 🇫🇮

Meteor, poloha: Myre 2024-04-05 22:05:20 UTC

Soubor KML  |  InteraktivnĂ­ mapa

Mapa zobrazuje dráhy meteoru. Světlejší čáry ukazují směry od pozorovacích stanic při objevení se meteoru a tmavší čáry, kde byl naposledy viděn. Modrá šipka značí viditelnou dráhu meteoru.

static map
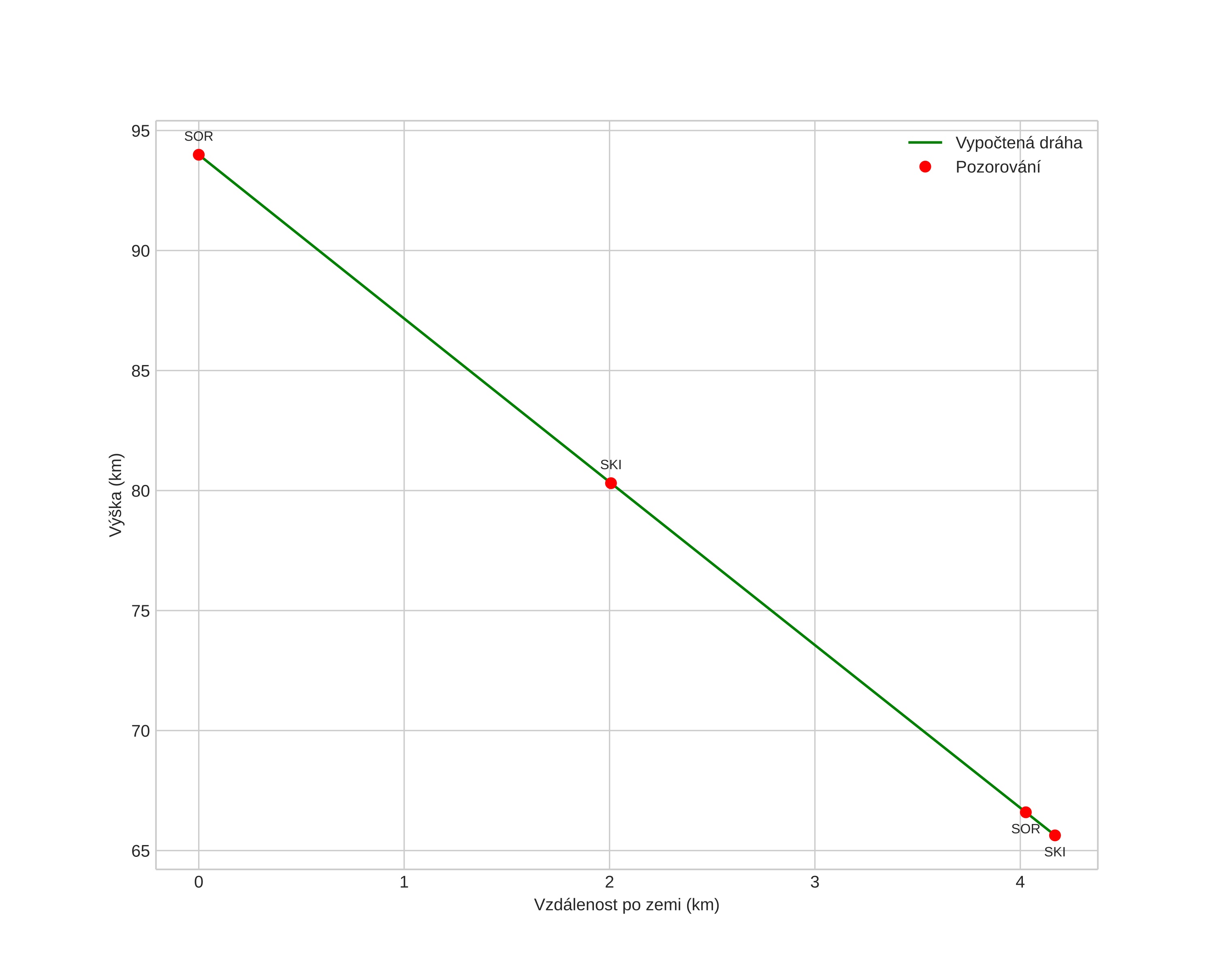
height profile
Atmosférická dráha meteoru:
Počáteční výška: 94,6 km
Konečná výška: 66,0 km
Počáteční poloha: 70,708N 14,272E
Konečná poloha: 70,740N 14,210E
Směr: 327,0°
Sklon: 81,6°
VstupnĂ­ rychlost: 18,5 km/s
Rektascenze radiantu: 12:39 (189,8°)
Deklinace radiantu: 62,5°
MeteorickĂ˝ roj: sporadickĂ˝
Elementy dráhy meteoroidu:
Vzdálenost v periheliu: 0,980 AU
Excentricita: 0,641
Sklon dráhy: 19,3°
Délka vzestupného uzlu: 16,3°
Argument perihelia: 198,5°
Střední anomálie: 356,8°
Epocha: 2024 APR 05 22:05:20
orbit plot

NeinteraktivnĂ­ graf | InteraktivnĂ­ graf

position vs time
speed and acceleration