🇳🇴 🇬🇧 🇩🇪 🇨🇿 🇫🇮

Meteor, poloha: Harboøre 2024-04-15 19:50:41 UTC

Soubor KML  |  InteraktivnĂ­ mapa

Mapa zobrazuje dráhy meteoru. Světlejší čáry ukazují směry od pozorovacích stanic při objevení se meteoru a tmavší čáry, kde byl naposledy viděn. Modrá šipka značí viditelnou dráhu meteoru.

static map
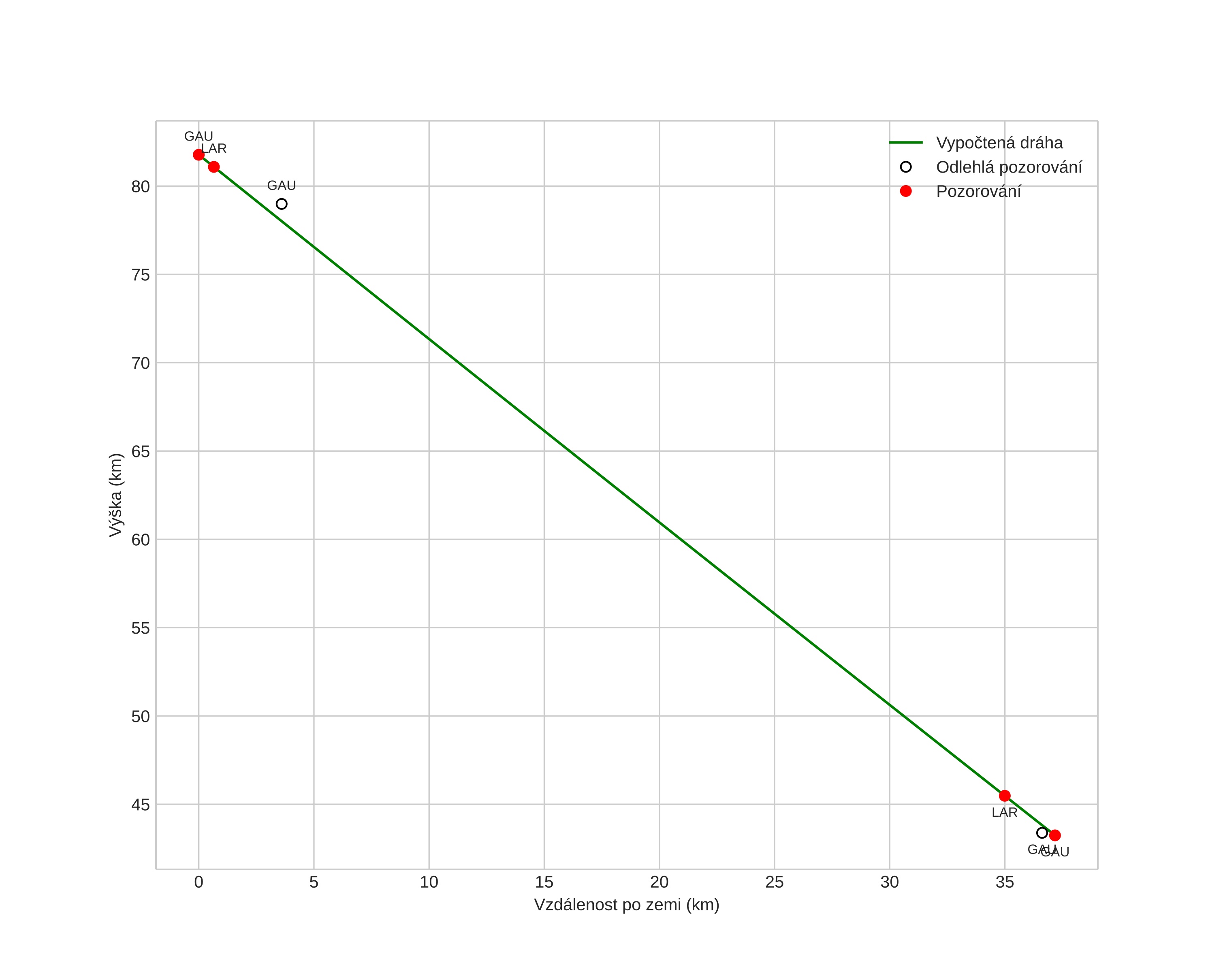
height profile
Atmosférická dráha meteoru:
Počáteční výška: 78,3 km
Konečná výška: 42,6 km
Počáteční poloha: 56,943N 7,970E
Konečná poloha: 56,630N 7,833E
Směr: 193,6°
Sklon: 44,9°
VstupnĂ­ rychlost: 24,4 km/s
Rektascenze radiantu: 19:42 (295,5°)
Deklinace radiantu: 73,2°
MeteorickĂ˝ roj: sporadickĂ˝
Elementy dráhy meteoroidu:
Vzdálenost v periheliu: 0,988 AU
Excentricita: 0,643
Sklon dráhy: 34,2°
Délka vzestupného uzlu: 26,0°
Argument perihelia: 163,6°
Střední anomálie: 2,8°
Epocha: 2024 APR 15 19:50:41
orbit plot

NeinteraktivnĂ­ graf | InteraktivnĂ­ graf

position vs time
speed and acceleration

Gaustatoppen (GAU) cam4


gnomonic
Videa
• Gnomonická
• Gnomonická se souřadnicemi
• Původní
• Původní se souřadnicemi
Obrázky
• Gnomonická
• Gnomonická se souřadnicemi
• Gnomonická s popisky
• Původní
• Původní se souřadnicemi
Textové soubory
• Detekce
• Pozorování
• Souřadnice
• Chybová hlášení
• Protokol
Jasnost

Gaustatoppen (GAU) cam5


gnomonic
Videa
• Gnomonická
• Gnomonická se souřadnicemi
• Původní
• Původní se souřadnicemi
Obrázky
• Gnomonická
• Gnomonická se souřadnicemi
• Gnomonická s popisky
• Původní
• Původní se souřadnicemi
Textové soubory
• Detekce
• Pozorování
• Souřadnice
• Chybová hlášení
• Protokol
Jasnost