🇳🇴 🇬🇧 🇩🇪 🇨🇿 🇫🇮

Meteor, poloha: Kragerø 2024-04-19 01:37:54 UTC

Soubor KML  |  InteraktivnĂ­ mapa

Mapa zobrazuje dráhy meteoru. Světlejší čáry ukazují směry od pozorovacích stanic při objevení se meteoru a tmavší čáry, kde byl naposledy viděn. Modrá šipka značí viditelnou dráhu meteoru.

static map
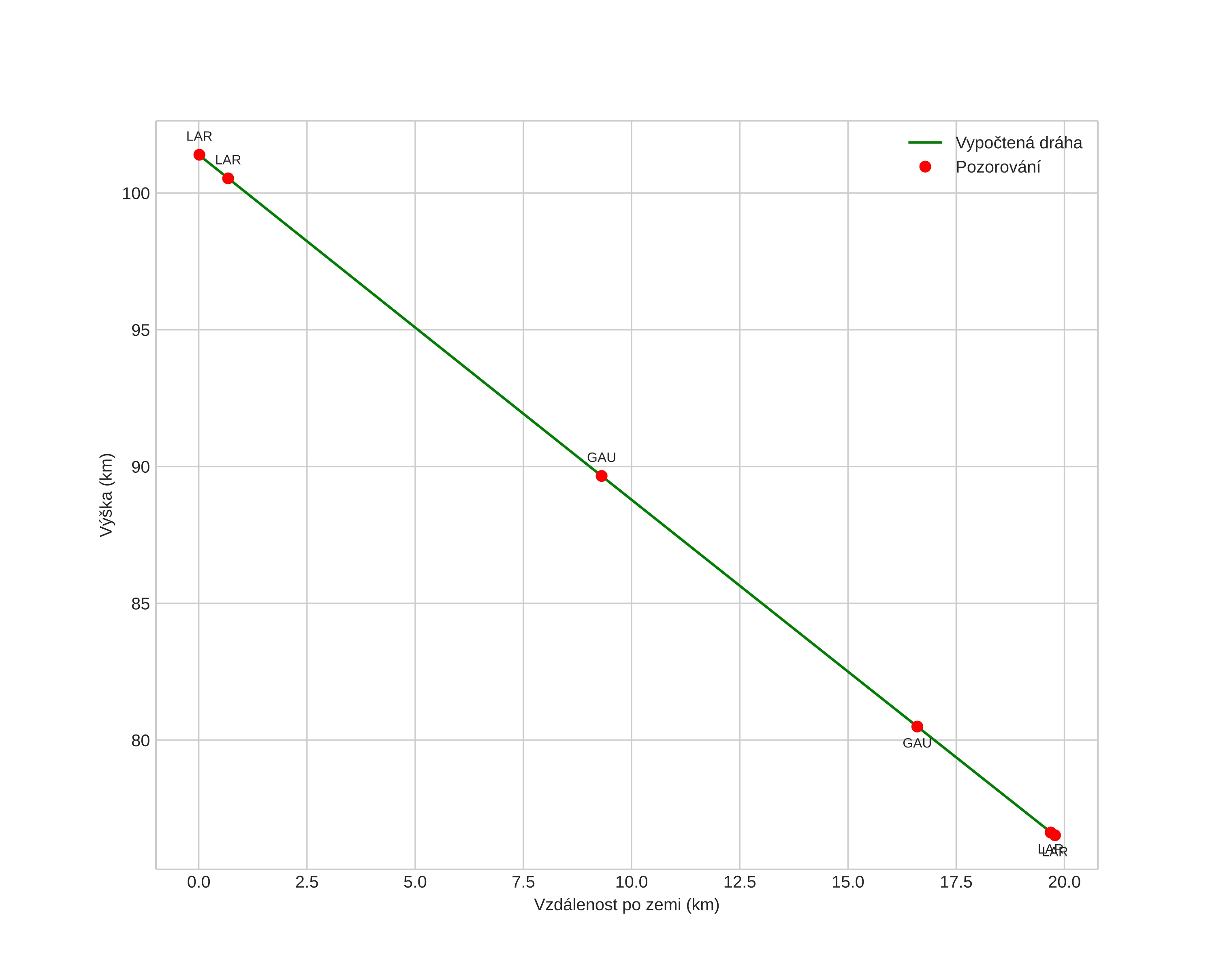
height profile
Atmosférická dráha meteoru:
Počáteční výška: 101,4 km
Konečná výška: 76,9 km
Počáteční poloha: 58,817N 9,784E
Konečná poloha: 58,719N 9,492E
Směr: 237,3°
Sklon: 50,7°
VstupnĂ­ rychlost: 37,6 km/s
Rektascenze radiantu: 21:24 (321,2°)
Deklinace radiantu: 56,7°
MeteorickĂ˝ roj: sporadickĂ˝
Elementy dráhy meteoroidu:
Vzdálenost v periheliu: 0,890 AU
Excentricita: 0,994
Sklon dráhy: 54,9°
Délka vzestupného uzlu: 29,2°
Argument perihelia: 140,5°
Střední anomálie: 0,0°
Epocha: 2024 APR 19 01:37:54
orbit plot

NeinteraktivnĂ­ graf | InteraktivnĂ­ graf

position vs time
speed and acceleration