🇳🇴 🇬🇧 🇩🇪 🇨🇿 🇫🇮

Meteor, poloha: Herre 2024-04-20 22:47:55 UTC

Soubor KML  |  InteraktivnĂ­ mapa

Mapa zobrazuje dráhy meteoru. Světlejší čáry ukazují směry od pozorovacích stanic při objevení se meteoru a tmavší čáry, kde byl naposledy viděn. Modrá šipka značí viditelnou dráhu meteoru.

static map
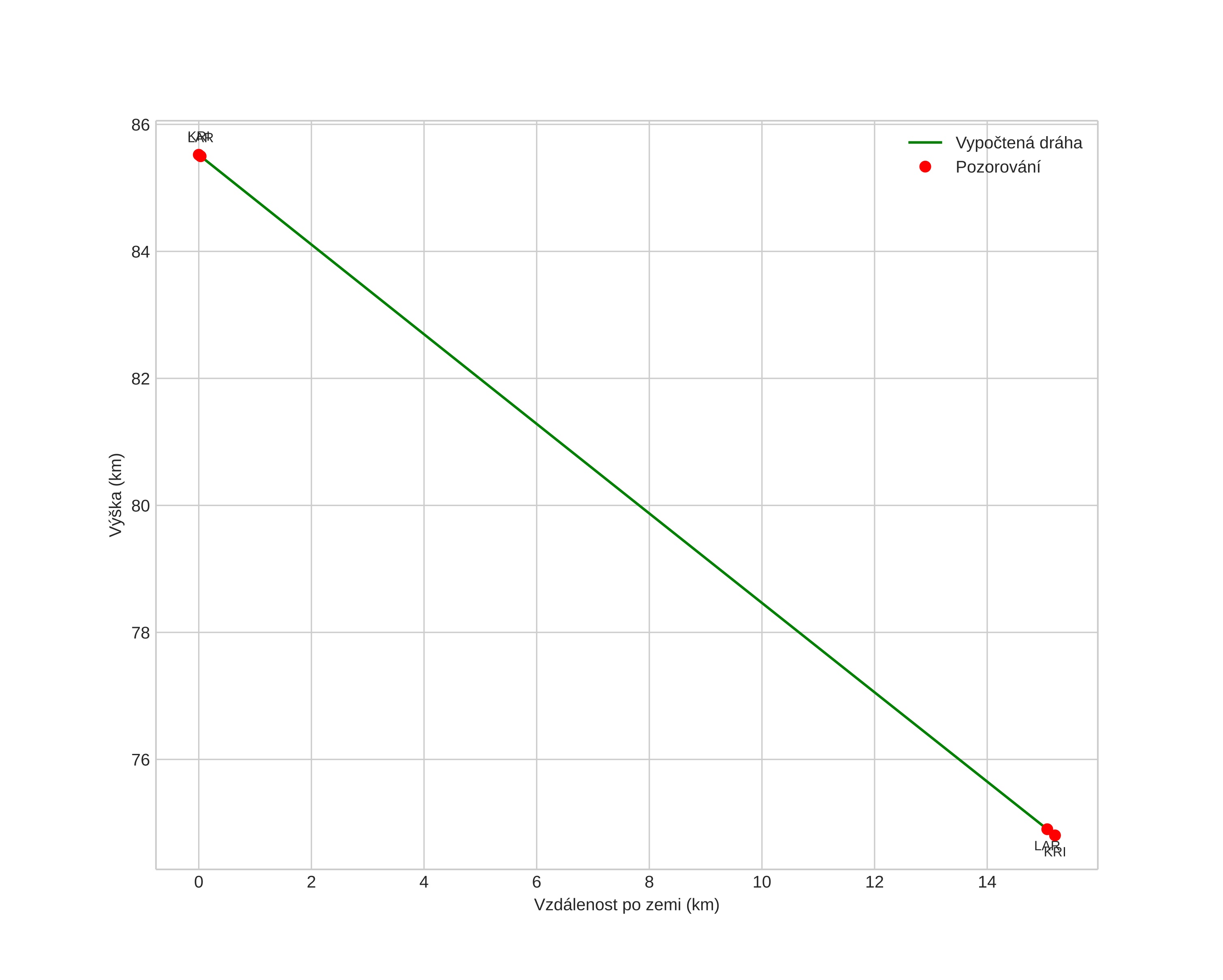
height profile
Atmosférická dráha meteoru:
Počáteční výška: 85,5 km
Konečná výška: 74,8 km
Počáteční poloha: 59,016N 9,585E
Konečná poloha: 59,144N 9,491E
Směr: 339,2°
Sklon: 35,1°
VstupnĂ­ rychlost: 22,7 km/s
Rektascenze radiantu: 14:31 (217,8°)
Deklinace radiantu: 1,8°
MeteorickĂ˝ roj: sporadickĂ˝
Elementy dráhy meteoroidu:
Vzdálenost v periheliu: 0,591 AU
Excentricita: 0,607
Sklon dráhy: 10,7°
Délka vzestupného uzlu: 31,0°
Argument perihelia: 275,2°
Střední anomálie: 332,2°
Epocha: 2024 APR 20 22:47:55
orbit plot

NeinteraktivnĂ­ graf | InteraktivnĂ­ graf

position vs time
speed and acceleration