🇳🇴 🇬🇧 🇩🇪 🇨🇿 🇫🇮

Meteor, poloha: Hvittingfoss 2024-04-21 01:29:08 UTC

Soubor KML  |  InteraktivnĂ­ mapa

Mapa zobrazuje dráhy meteoru. Světlejší čáry ukazují směry od pozorovacích stanic při objevení se meteoru a tmavší čáry, kde byl naposledy viděn. Modrá šipka značí viditelnou dráhu meteoru.

static map
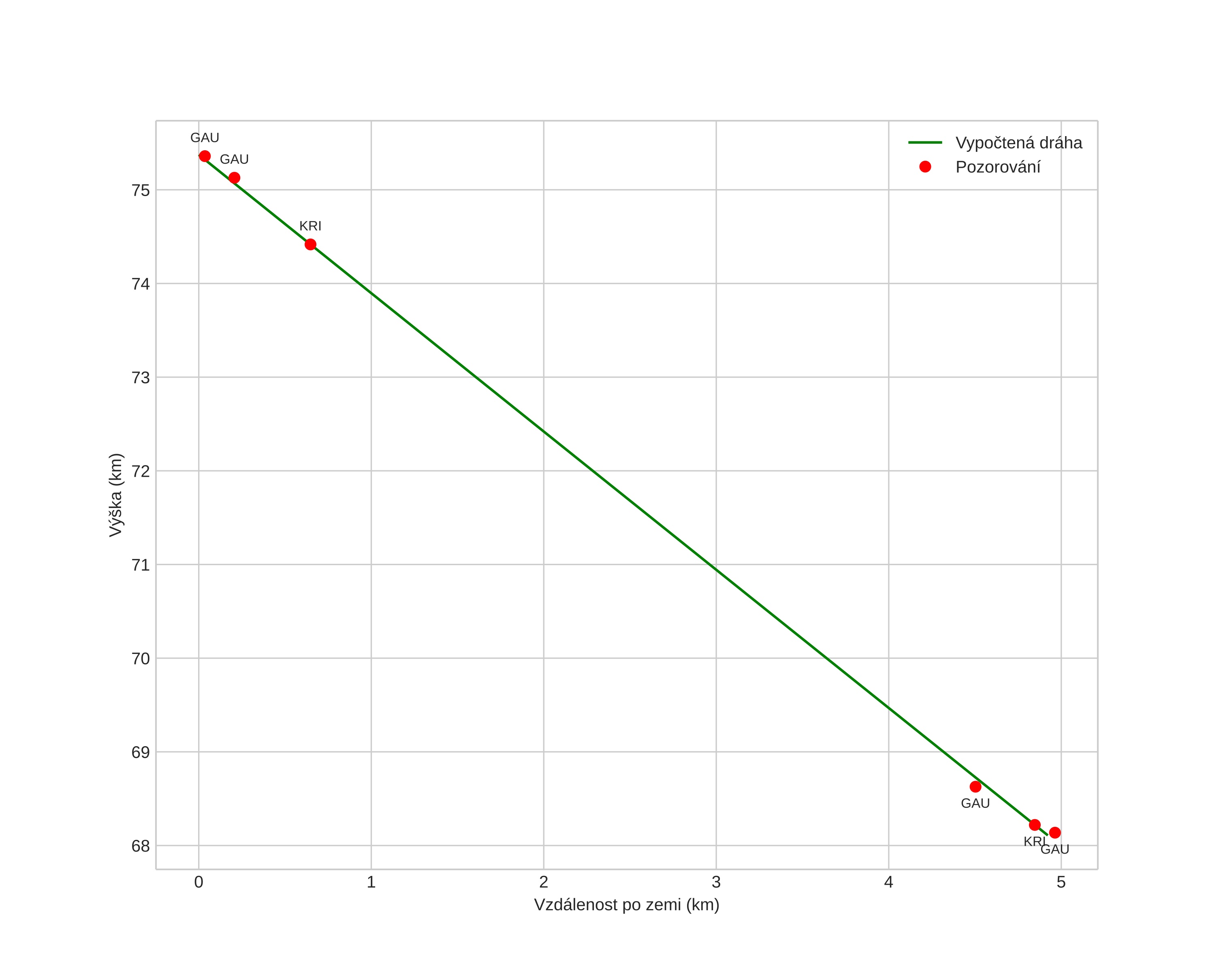
height profile
Atmosférická dráha meteoru:
Počáteční výška: 76,8 km
Konečná výška: 68,0 km
Počáteční poloha: 59,367N 9,944E
Konečná poloha: 59,315N 9,938E
Směr: 183,5°
Sklon: 56,5°
VstupnĂ­ rychlost: 18,5 km/s
Rektascenze radiantu: 03:16 (49,1°)
Deklinace radiantu: 83,2°
MeteorickĂ˝ roj: sporadickĂ˝
Elementy dráhy meteoroidu:
Vzdálenost v periheliu: 0,981 AU
Excentricita: 0,623
Sklon dráhy: 20,3°
Délka vzestupného uzlu: 31,1°
Argument perihelia: 159,7°
Střední anomálie: 3,7°
Epocha: 2024 APR 21 01:29:08
orbit plot

NeinteraktivnĂ­ graf | InteraktivnĂ­ graf

position vs time
speed and acceleration