🇳🇴 🇬🇧 🇩🇪 🇨🇿 🇫🇮

Meteor, poloha: Hovden 2024-04-21 21:40:23 UTC

Soubor KML  |  InteraktivnĂ­ mapa

Mapa zobrazuje dráhy meteoru. Světlejší čáry ukazují směry od pozorovacích stanic při objevení se meteoru a tmavší čáry, kde byl naposledy viděn. Modrá šipka značí viditelnou dráhu meteoru.

static map
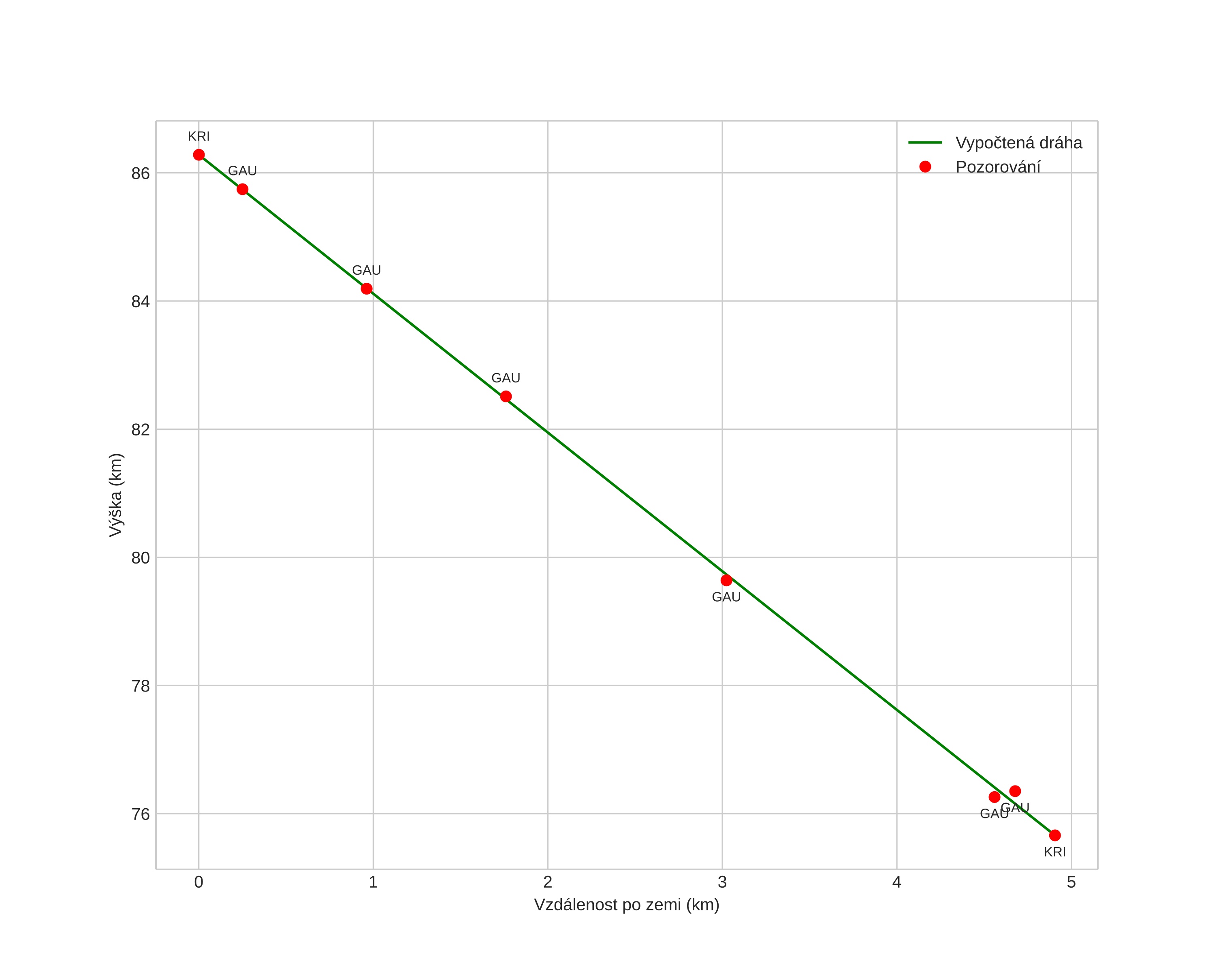
height profile
Atmosférická dráha meteoru:
Počáteční výška: 87,7 km
Konečná výška: 75,6 km
Počáteční poloha: 59,549N 7,098E
Konečná poloha: 59,500N 7,087E
Směr: 186,4°
Sklon: 65,4°
VstupnĂ­ rychlost: 21,5 km/s
Rektascenze radiantu: 14:01 (210,3°)
Deklinace radiantu: 85,4°
MeteorickĂ˝ roj: sporadickĂ˝
Elementy dráhy meteoroidu:
Vzdálenost v periheliu: 0,999 AU
Excentricita: 0,805
Sklon dráhy: 25,5°
Délka vzestupného uzlu: 31,9°
Argument perihelia: 170,7°
Střední anomálie: 0,6°
Epocha: 2024 APR 21 21:40:23
orbit plot

NeinteraktivnĂ­ graf | InteraktivnĂ­ graf

position vs time
speed and acceleration