🇳🇴 🇬🇧 🇩🇪 🇨🇿 🇫🇮

Meteor, poloha: Herre 2024-04-21 21:44:23 UTC

Soubor KML  |  InteraktivnĂ­ mapa

Mapa zobrazuje dráhy meteoru. Světlejší čáry ukazují směry od pozorovacích stanic při objevení se meteoru a tmavší čáry, kde byl naposledy viděn. Modrá šipka značí viditelnou dráhu meteoru.

static map
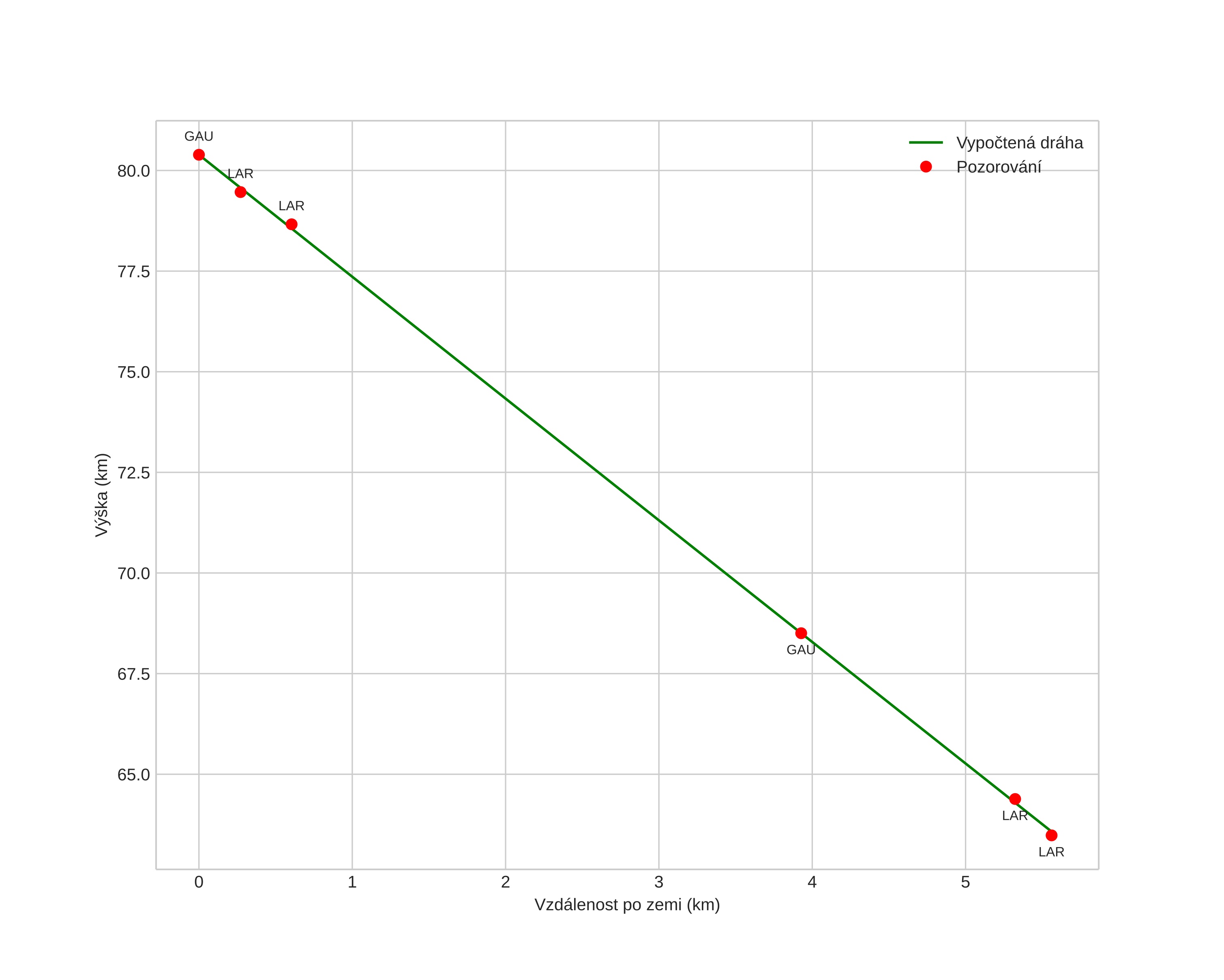
height profile
Atmosférická dráha meteoru:
Počáteční výška: 80,3 km
Konečná výška: 63,2 km
Počáteční poloha: 59,208N 9,450E
Konečná poloha: 59,159N 9,469E
Směr: 169,2°
Sklon: 71,9°
VstupnĂ­ rychlost: 17,1 km/s
Rektascenze radiantu: 10:45 (161,4°)
Deklinace radiantu: 78,5°
MeteorickĂ˝ roj: sporadickĂ˝
Elementy dráhy meteoroidu:
Vzdálenost v periheliu: 1,003 AU
Excentricita: 0,606
Sklon dráhy: 17,6°
Délka vzestupného uzlu: 31,9°
Argument perihelia: 174,1°
Střední anomálie: 1,1°
Epocha: 2024 APR 21 21:44:23
orbit plot

NeinteraktivnĂ­ graf | InteraktivnĂ­ graf

position vs time
speed and acceleration