🇳🇴 🇬🇧 🇩🇪 🇨🇿 🇫🇮

Meteor, poloha: Meieribyen 2024-04-21 22:14:30 UTC

Soubor KML  |  InteraktivnĂ­ mapa

Mapa zobrazuje dráhy meteoru. Světlejší čáry ukazují směry od pozorovacích stanic při objevení se meteoru a tmavší čáry, kde byl naposledy viděn. Modrá šipka značí viditelnou dráhu meteoru.

static map
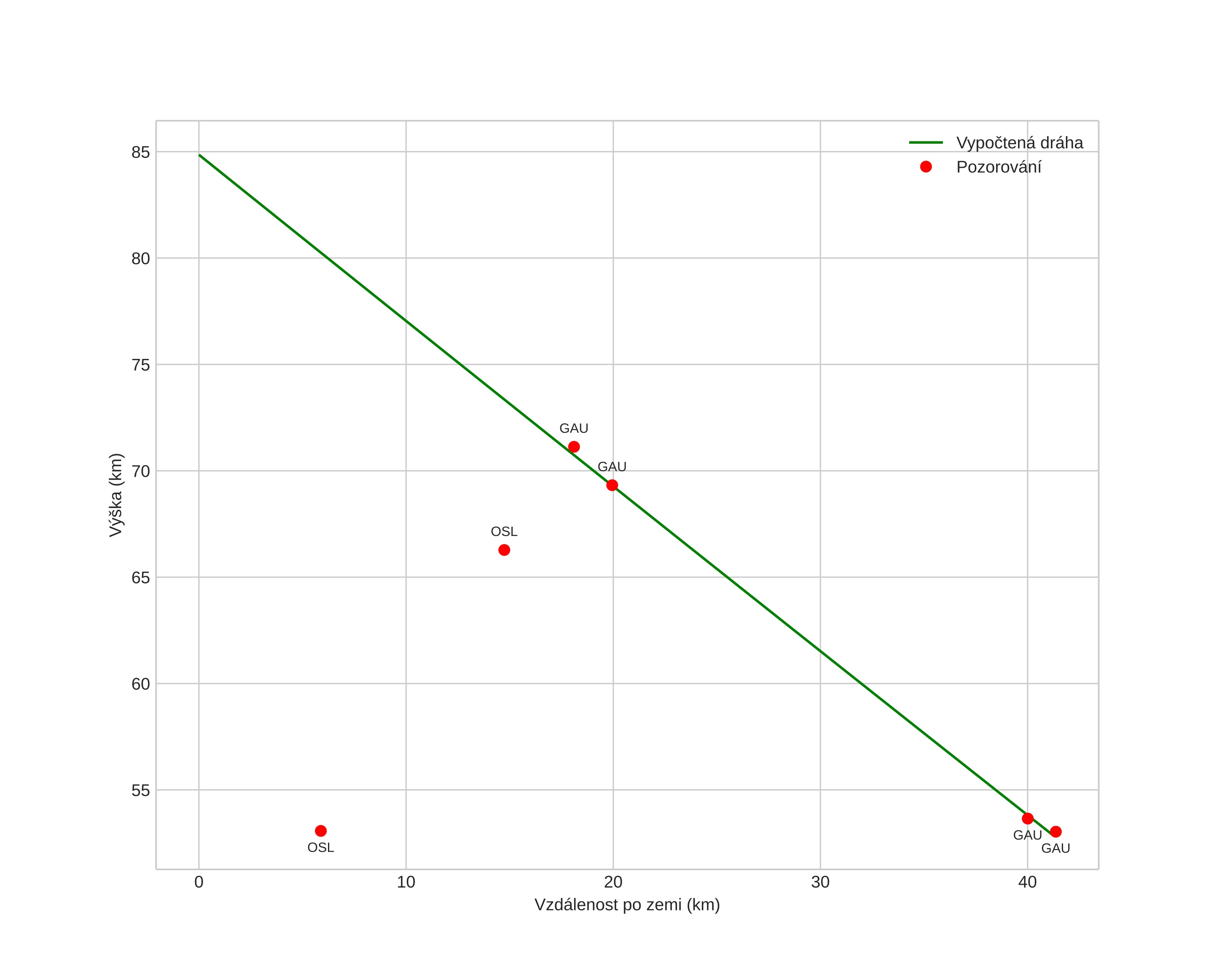
height profile
Atmosférická dráha meteoru:
Počáteční výška: 85,0 km
Konečná výška: 52,8 km
Počáteční poloha: 59,566N 11,796E
Konečná poloha: 59,495N 11,074E
Směr: 259,3°
Sklon: 37,8°
VstupnĂ­ rychlost: 27,4 km/s
Rektascenze radiantu: 18:15 (273,9°)
Deklinace radiantu: 35,3°
MeteorickĂ˝ roj: sporadickĂ˝
Elementy dráhy meteoroidu:
Vzdálenost v periheliu: 0,732 AU
Excentricita: 0,204
Sklon dráhy: 49,7°
Délka vzestupného uzlu: 32,0°
Argument perihelia: 307,3°
Střední anomálie: 253,0°
Epocha: 2024 APR 21 22:14:30
orbit plot

NeinteraktivnĂ­ graf | InteraktivnĂ­ graf

position vs time
speed and acceleration