🇳🇴 🇬🇧 🇩🇪 🇨🇿 🇫🇮

Meteor, poloha: Tjøme 2024-04-22 00:18:18 UTC

Soubor KML  |  InteraktivnĂ­ mapa

Mapa zobrazuje dráhy meteoru. Světlejší čáry ukazují směry od pozorovacích stanic při objevení se meteoru a tmavší čáry, kde byl naposledy viděn. Modrá šipka značí viditelnou dráhu meteoru.

static map
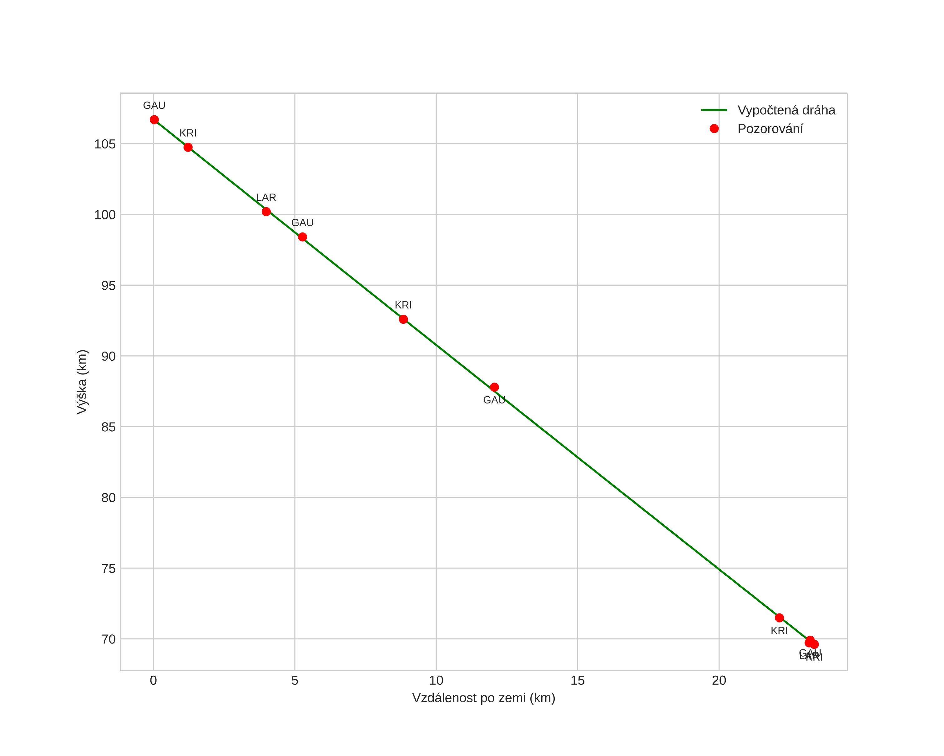
height profile
Atmosférická dráha meteoru:
Počáteční výška: 106,9 km
Konečná výška: 69,3 km
Počáteční poloha: 58,993N 10,709E
Konečná poloha: 58,860N 10,391E
Směr: 231,0°
Sklon: 58,0°
VstupnĂ­ rychlost: 32,2 km/s
Rektascenze radiantu: 19:48 (297,1°)
Deklinace radiantu: 63,8°
MeteorickĂ˝ roj: sporadickĂ˝
Elementy dráhy meteoroidu:
Vzdálenost v periheliu: 0,984 AU
Excentricita: 0,812
Sklon dráhy: 48,3°
Délka vzestupného uzlu: 32,0°
Argument perihelia: 162,2°
Střední anomálie: 1,1°
Epocha: 2024 APR 22 00:18:18
orbit plot

NeinteraktivnĂ­ graf | InteraktivnĂ­ graf

position vs time
speed and acceleration