🇳🇴 🇬🇧 🇩🇪 🇨🇿 🇫🇮

Meteor, poloha: Fjerritslev 2024-04-22 00:44:43 UTC

Soubor KML  |  InteraktivnĂ­ mapa

Mapa zobrazuje dráhy meteoru. Světlejší čáry ukazují směry od pozorovacích stanic při objevení se meteoru a tmavší čáry, kde byl naposledy viděn. Modrá šipka značí viditelnou dráhu meteoru.

static map
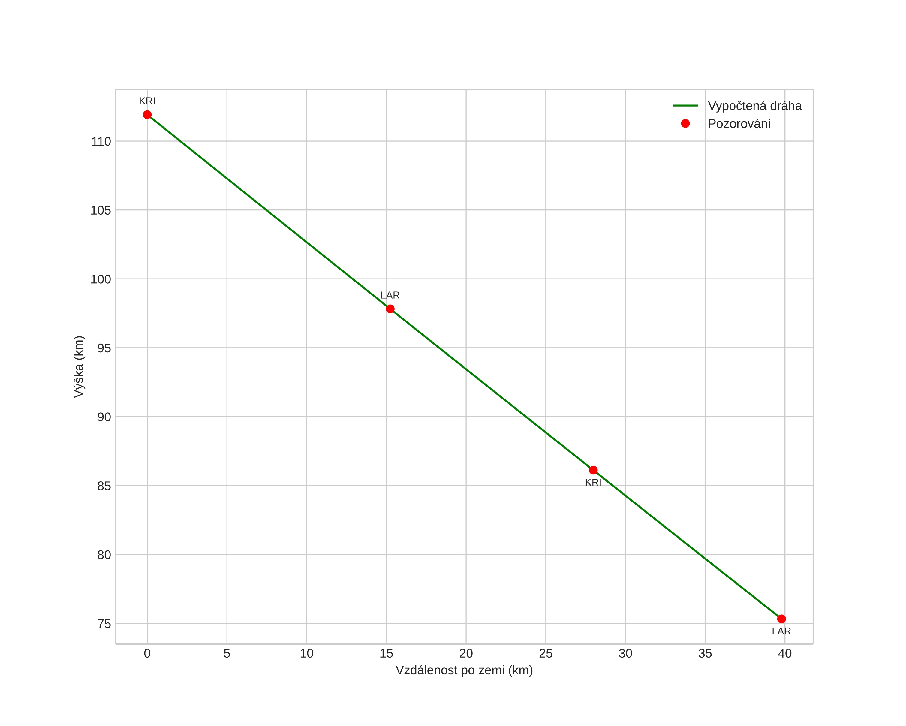
height profile
Atmosférická dráha meteoru:
Počáteční výška: 100,4 km
Konečná výška: 77,0 km
Počáteční poloha: 57,532N 9,268E
Konečná poloha: 57,745N 9,103E
Směr: 337,6°
Sklon: 42,4°
VstupnĂ­ rychlost: 40,0 km/s
Rektascenze radiantu: 16:28 (247,2°)
Deklinace radiantu: 10,6°
MeteorickĂ˝ roj: sporadickĂ˝
Elementy dráhy meteoroidu:
Vzdálenost v periheliu: 0,360 AU
Excentricita: 0,821
Sklon dráhy: 57,9°
Délka vzestupného uzlu: 32,1°
Argument perihelia: 295,1°
Střední anomálie: 344,8°
Epocha: 2024 APR 22 00:44:43
orbit plot

NeinteraktivnĂ­ graf | InteraktivnĂ­ graf

position vs time
speed and acceleration