🇳🇴 🇬🇧 🇩🇪 🇨🇿 🇫🇮

Meteor, poloha: Sauland 2024-04-22 00:49:09 UTC

Soubor KML  |  InteraktivnĂ­ mapa

Mapa zobrazuje dráhy meteoru. Světlejší čáry ukazují směry od pozorovacích stanic při objevení se meteoru a tmavší čáry, kde byl naposledy viděn. Modrá šipka značí viditelnou dráhu meteoru.

static map
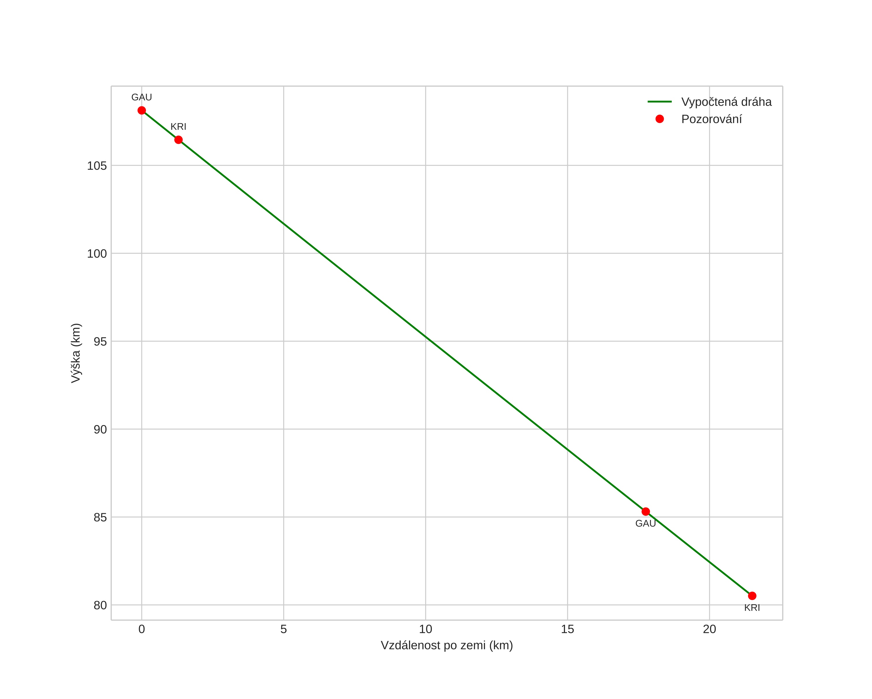
height profile
Atmosférická dráha meteoru:
Počáteční výška: 109,5 km
Konečná výška: 80,5 km
Počáteční poloha: 59,454N 9,229E
Konečná poloha: 59,544N 8,870E
Směr: 296,4°
Sklon: 52,0°
VstupnĂ­ rychlost: 45,6 km/s
Rektascenze radiantu: 18:10 (272,7°)
Deklinace radiantu: 32,2°
MeteorickĂ˝ roj: Lyridy
Elementy dráhy meteoroidu:
Vzdálenost v periheliu: 0,906 AU
Excentricita: 0,739
Sklon dráhy: 78,2°
Délka vzestupného uzlu: 32,1°
Argument perihelia: 219,9°
Střední anomálie: 355,7°
Epocha: 2024 APR 22 00:49:09
orbit plot

NeinteraktivnĂ­ graf | InteraktivnĂ­ graf

position vs time
speed and acceleration