🇳🇴 🇬🇧 🇩🇪 🇨🇿 🇫🇮

Meteor, poloha: Utsira 2024-04-22 00:52:33 UTC

Soubor KML  |  InteraktivnĂ­ mapa

Mapa zobrazuje dráhy meteoru. Světlejší čáry ukazují směry od pozorovacích stanic při objevení se meteoru a tmavší čáry, kde byl naposledy viděn. Modrá šipka značí viditelnou dráhu meteoru.

static map
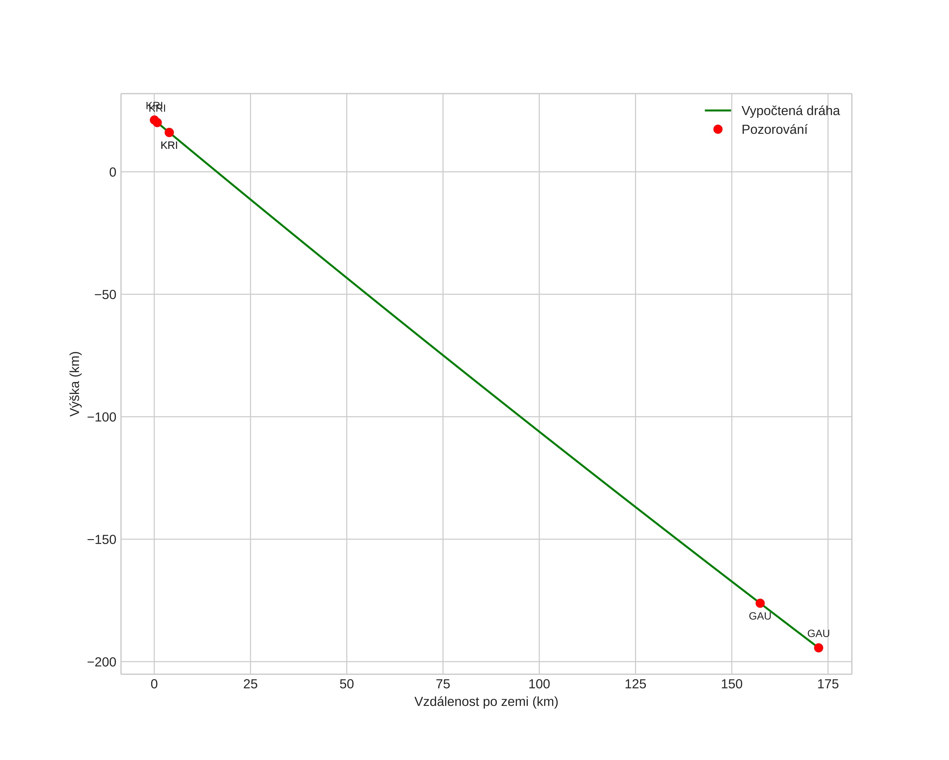
height profile
Atmosférická dráha meteoru:
Počáteční výška: 21,9 km
Konečná výška: -199,2 km
Počáteční poloha: 58,135N 7,535E
Konečná poloha: 58,665N 4,734E
Směr: 291,0°
Sklon: 51,9°
VstupnĂ­ rychlost: 9,9 km/s
position vs time
speed and acceleration