🇳🇴 🇬🇧 🇩🇪 🇨🇿 🇫🇮

Meteor, poloha: Mandal 2024-04-22 01:24:04 UTC

Soubor KML  |  InteraktivnĂ­ mapa

Mapa zobrazuje dráhy meteoru. Světlejší čáry ukazují směry od pozorovacích stanic při objevení se meteoru a tmavší čáry, kde byl naposledy viděn. Modrá šipka značí viditelnou dráhu meteoru.

static map
height profile
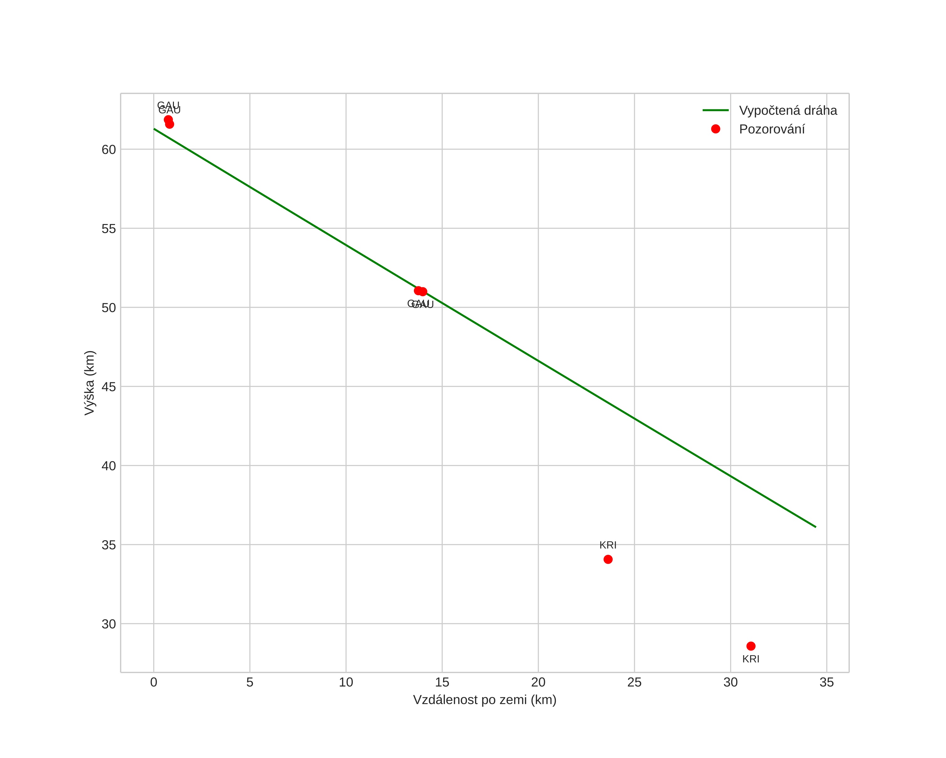
Atmosférická dráha meteoru:
Počáteční výška: 63,6 km
Konečná výška: 36,0 km
Počáteční poloha: 57,790N 8,098E
Konečná poloha: 57,626N 7,627E
Směr: 237,1°
Sklon: 39,6°
VstupnĂ­ rychlost: 34,3 km/s
Rektascenze radiantu: 22:08 (332,2°)
Deklinace radiantu: 48,7°
MeteorickĂ˝ roj: sporadickĂ˝
Elementy dráhy meteoroidu:
Vzdálenost v periheliu: 0,744 AU
Excentricita: 0,666
Sklon dráhy: 52,5°
Délka vzestupného uzlu: 32,1°
Argument perihelia: 110,5°
Střední anomálie: 12,9°
Epocha: 2024 APR 22 01:24:04
orbit plot

NeinteraktivnĂ­ graf | InteraktivnĂ­ graf

position vs time
speed and acceleration