🇳🇴 🇬🇧 🇩🇪 🇨🇿 🇫🇮

Meteor, poloha: Fjerritslev 2024-04-22 01:47:03 UTC

Soubor KML  |  InteraktivnĂ­ mapa

Mapa zobrazuje dráhy meteoru. Světlejší čáry ukazují směry od pozorovacích stanic při objevení se meteoru a tmavší čáry, kde byl naposledy viděn. Modrá šipka značí viditelnou dráhu meteoru.

static map
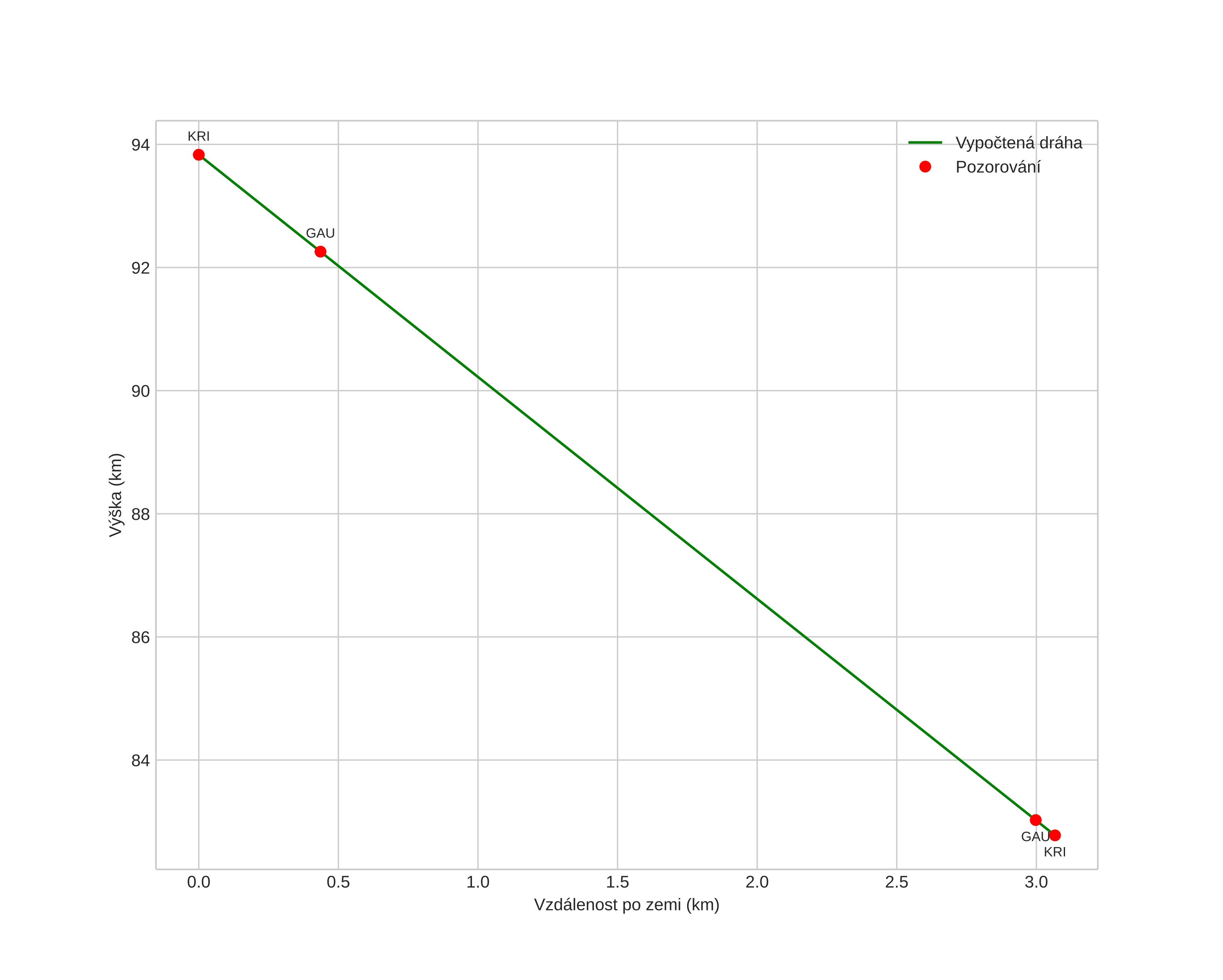
height profile
Atmosférická dráha meteoru:
Počáteční výška: 93,3 km
Konečná výška: 82,3 km
Počáteční poloha: 57,401N 9,240E
Konečná poloha: 57,383N 9,280E
Směr: 129,6°
Sklon: 74,4°
VstupnĂ­ rychlost: 25,6 km/s
Rektascenze radiantu: 14:18 (214,6°)
Deklinace radiantu: 64,5°
MeteorickĂ˝ roj: sporadickĂ˝
Elementy dráhy meteoroidu:
Vzdálenost v periheliu: 0,993 AU
Excentricita: 1,065
Sklon dráhy: 30,3°
Délka vzestupného uzlu: 32,1°
Argument perihelia: 192,6°
Střední anomálie: -0,1°
Epocha: 2024 APR 22 01:47:03
orbit plot

NeinteraktivnĂ­ graf | InteraktivnĂ­ graf

position vs time
speed and acceleration