🇳🇴 🇬🇧 🇩🇪 🇨🇿 🇫🇮

Meteor, poloha: Höviksnäs 2024-04-26 22:49:02 UTC

Soubor KML  |  InteraktivnĂ­ mapa

Mapa zobrazuje dráhy meteoru. Světlejší čáry ukazují směry od pozorovacích stanic při objevení se meteoru a tmavší čáry, kde byl naposledy viděn. Modrá šipka značí viditelnou dráhu meteoru.

static map
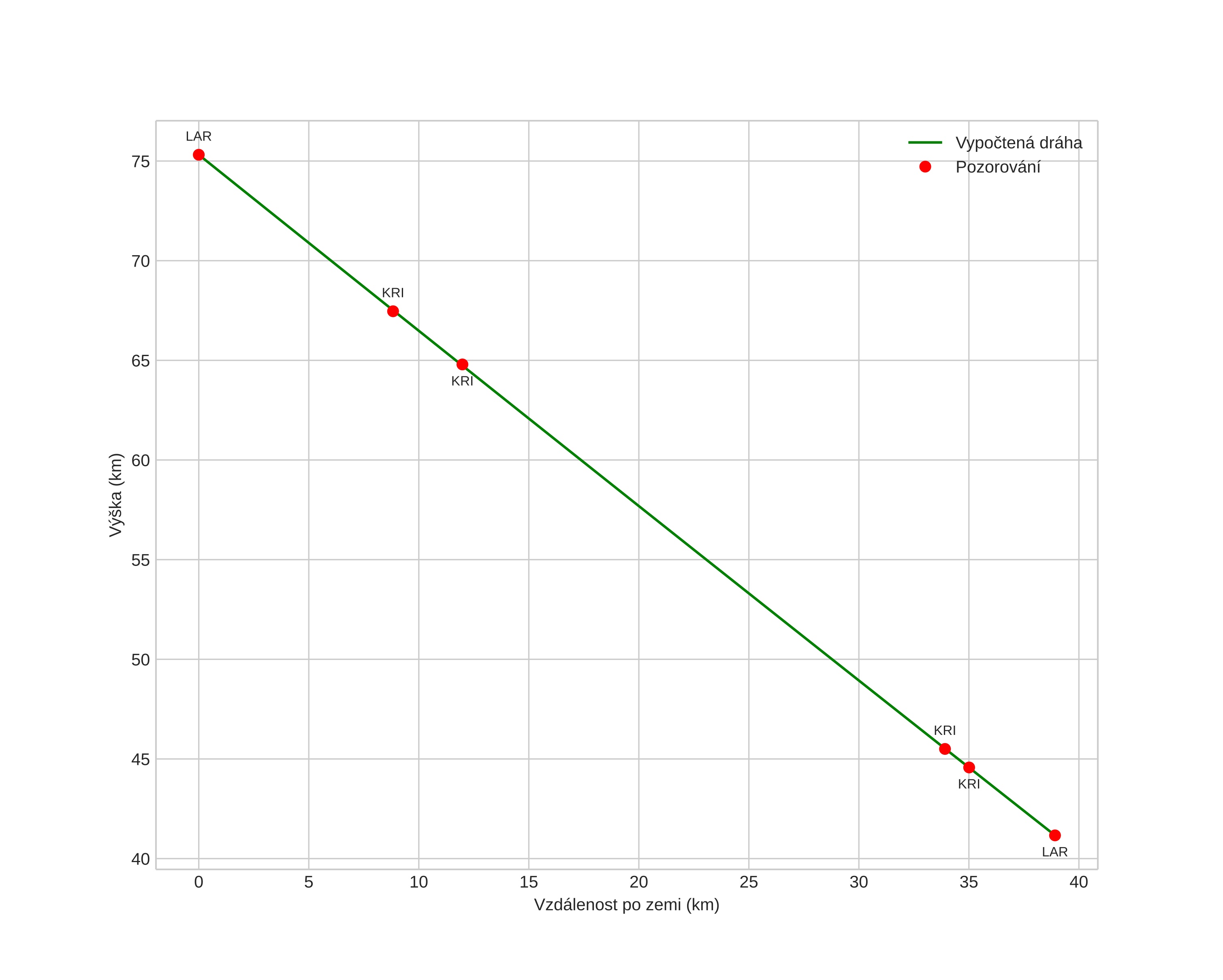
height profile
Atmosférická dráha meteoru:
Počáteční výška: 75,3 km
Konečná výška: 41,2 km
Počáteční poloha: 57,751N 11,264E
Konečná poloha: 57,977N 11,766E
Směr: 49,5°
Sklon: 41,2°
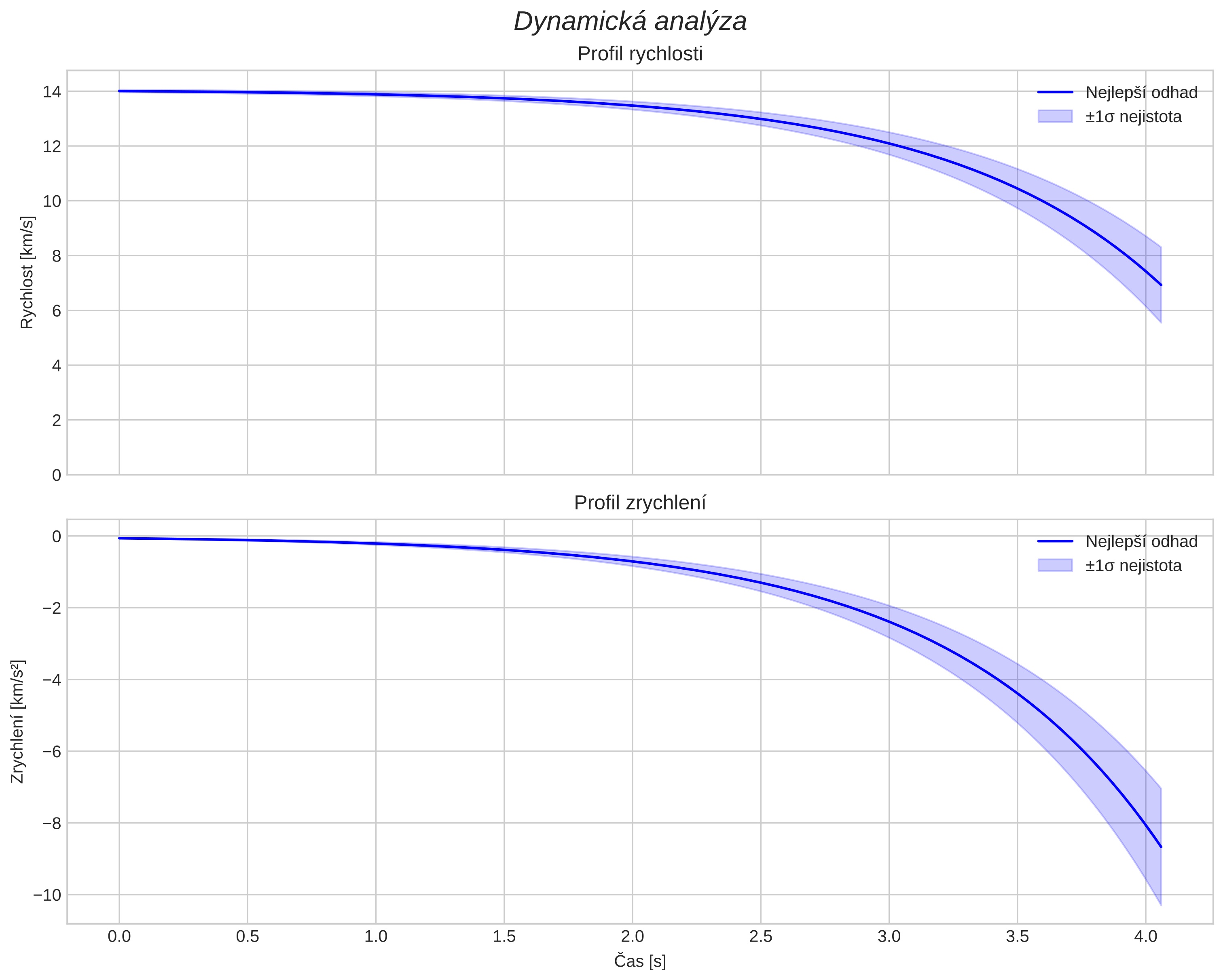
VstupnĂ­ rychlost: 13,2 km/s
Rektascenze radiantu: 10:57 (164,4°)
Deklinace radiantu: 3,3°
MeteorickĂ˝ roj: sporadickĂ˝
Elementy dráhy meteoroidu:
Vzdálenost v periheliu: 0,986 AU
Excentricita: 0,450
Sklon dráhy: 0,6°
Délka vzestupného uzlu: 216,6°
Argument perihelia: 21,1°
Střední anomálie: 352,8°
Epocha: 2024 APR 26 22:49:02
orbit plot

NeinteraktivnĂ­ graf | InteraktivnĂ­ graf

position vs time
speed and acceleration