🇳🇴 🇬🇧 🇩🇪 🇨🇿 🇫🇮

Meteor, poloha: Prestestranda 2024-04-29 23:38:05 UTC

Soubor KML  |  InteraktivnĂ­ mapa

Mapa zobrazuje dráhy meteoru. Světlejší čáry ukazují směry od pozorovacích stanic při objevení se meteoru a tmavší čáry, kde byl naposledy viděn. Modrá šipka značí viditelnou dráhu meteoru.

static map
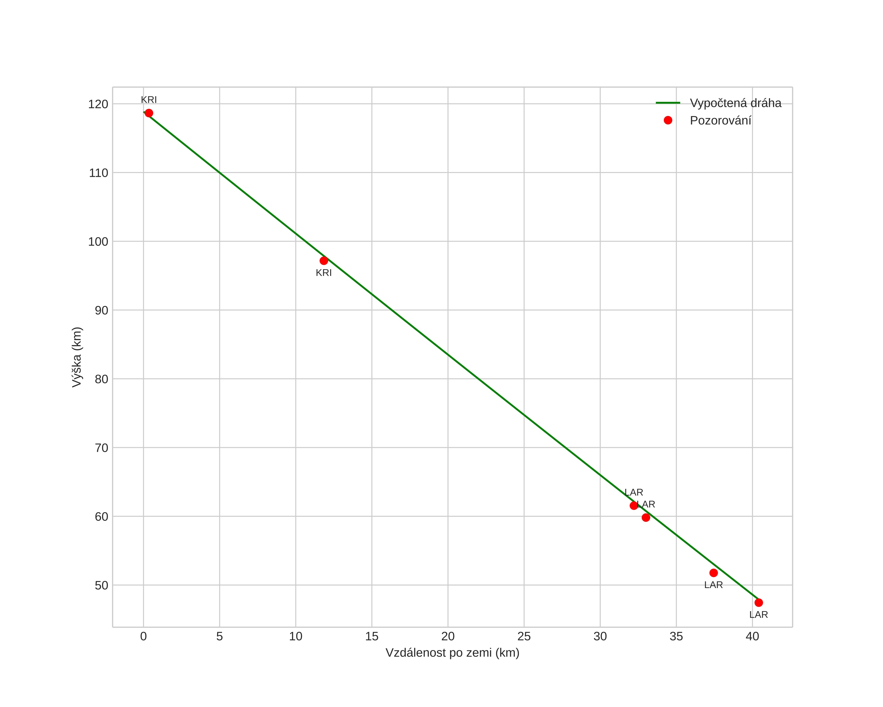
height profile
Atmosférická dráha meteoru:
Počáteční výška: 121,8 km
Konečná výška: 54,9 km
Počáteční poloha: 59,351N 8,796E
Konečná poloha: 58,999N 8,998E
Směr: 163,5°
Sklon: 58,6°
VstupnĂ­ rychlost: 18,0 km/s
Rektascenze radiantu: 07:32 (113,1°)
Deklinace radiantu: 79,3°
MeteorickĂ˝ roj: sporadickĂ˝
Elementy dráhy meteoroidu:
Vzdálenost v periheliu: 0,989 AU
Excentricita: 0,681
Sklon dráhy: 18,2°
Délka vzestupného uzlu: 39,8°
Argument perihelia: 162,8°
Střední anomálie: 2,4°
Epocha: 2024 APR 29 23:38:05
orbit plot

NeinteraktivnĂ­ graf | InteraktivnĂ­ graf

position vs time
speed and acceleration