🇳🇴 🇬🇧 🇩🇪 🇨🇿 🇫🇮

Meteor, poloha: Hanstholm 2024-04-30 00:25:56 UTC

Soubor KML  |  InteraktivnĂ­ mapa

Mapa zobrazuje dráhy meteoru. Světlejší čáry ukazují směry od pozorovacích stanic při objevení se meteoru a tmavší čáry, kde byl naposledy viděn. Modrá šipka značí viditelnou dráhu meteoru.

static map
height profile
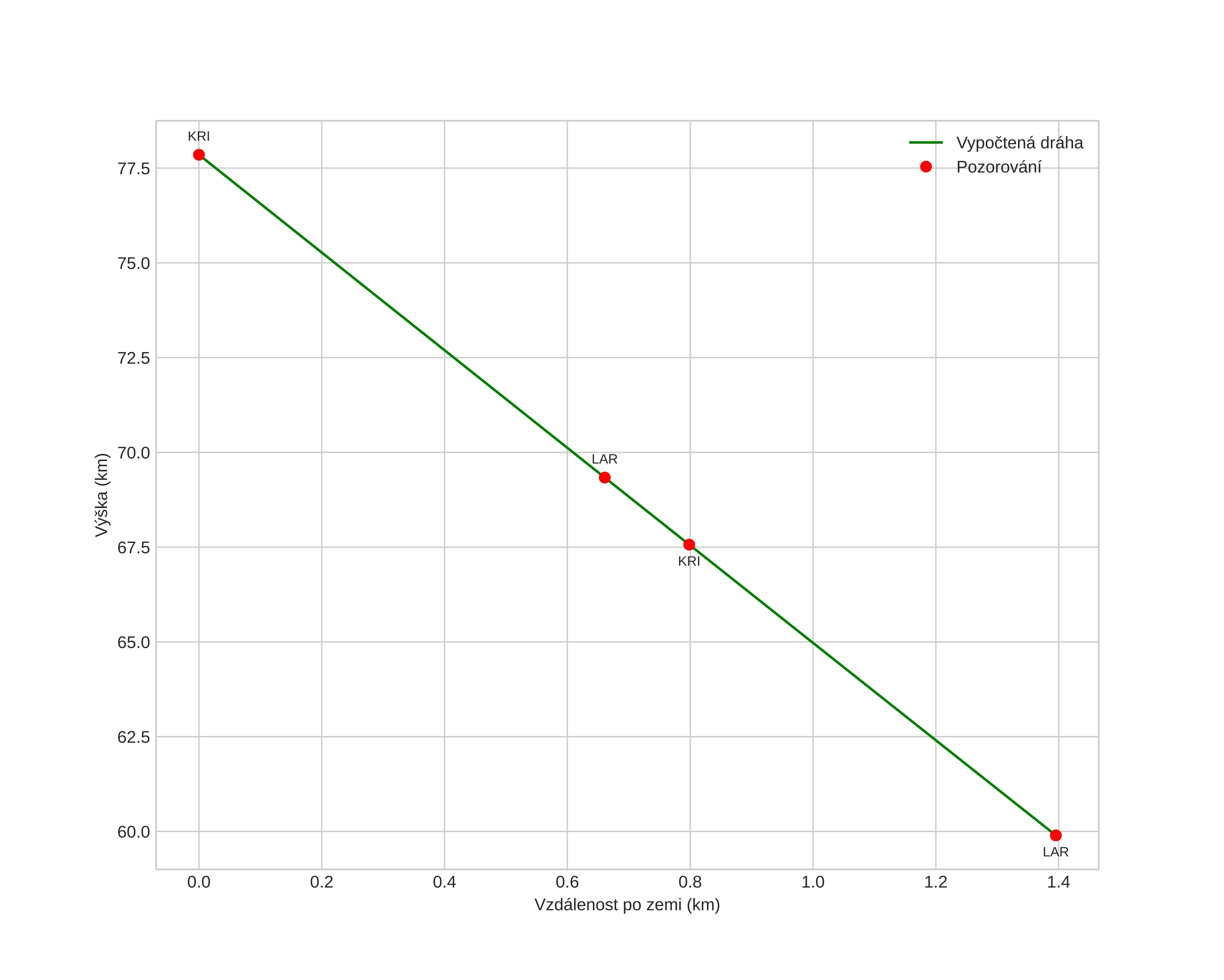
Atmosférická dráha meteoru:
Počáteční výška: 78,9 km
Konečná výška: 59,9 km
Počáteční poloha: 57,256N 8,719E
Konečná poloha: 57,270N 8,737E
Směr: 35,3°
Sklon: 84,5°
VstupnĂ­ rychlost: 15,5 km/s
Rektascenze radiantu: 15:02 (225,5°)
Deklinace radiantu: 51,6°
MeteorickĂ˝ roj: sporadickĂ˝
Elementy dráhy meteoroidu:
Vzdálenost v periheliu: 0,978 AU
Excentricita: 0,293
Sklon dráhy: 17,0°
Délka vzestupného uzlu: 39,8°
Argument perihelia: 209,6°
Střední anomálie: 344,2°
Epocha: 2024 APR 30 00:25:56
orbit plot

NeinteraktivnĂ­ graf | InteraktivnĂ­ graf

position vs time
speed and acceleration