🇳🇴 🇬🇧 🇩🇪 🇨🇿 🇫🇮

Meteor, poloha: Ă…mli 2024-05-03 21:15:38 UTC

Soubor KML  |  InteraktivnĂ­ mapa

Mapa zobrazuje dráhy meteoru. Světlejší čáry ukazují směry od pozorovacích stanic při objevení se meteoru a tmavší čáry, kde byl naposledy viděn. Modrá šipka značí viditelnou dráhu meteoru.

static map
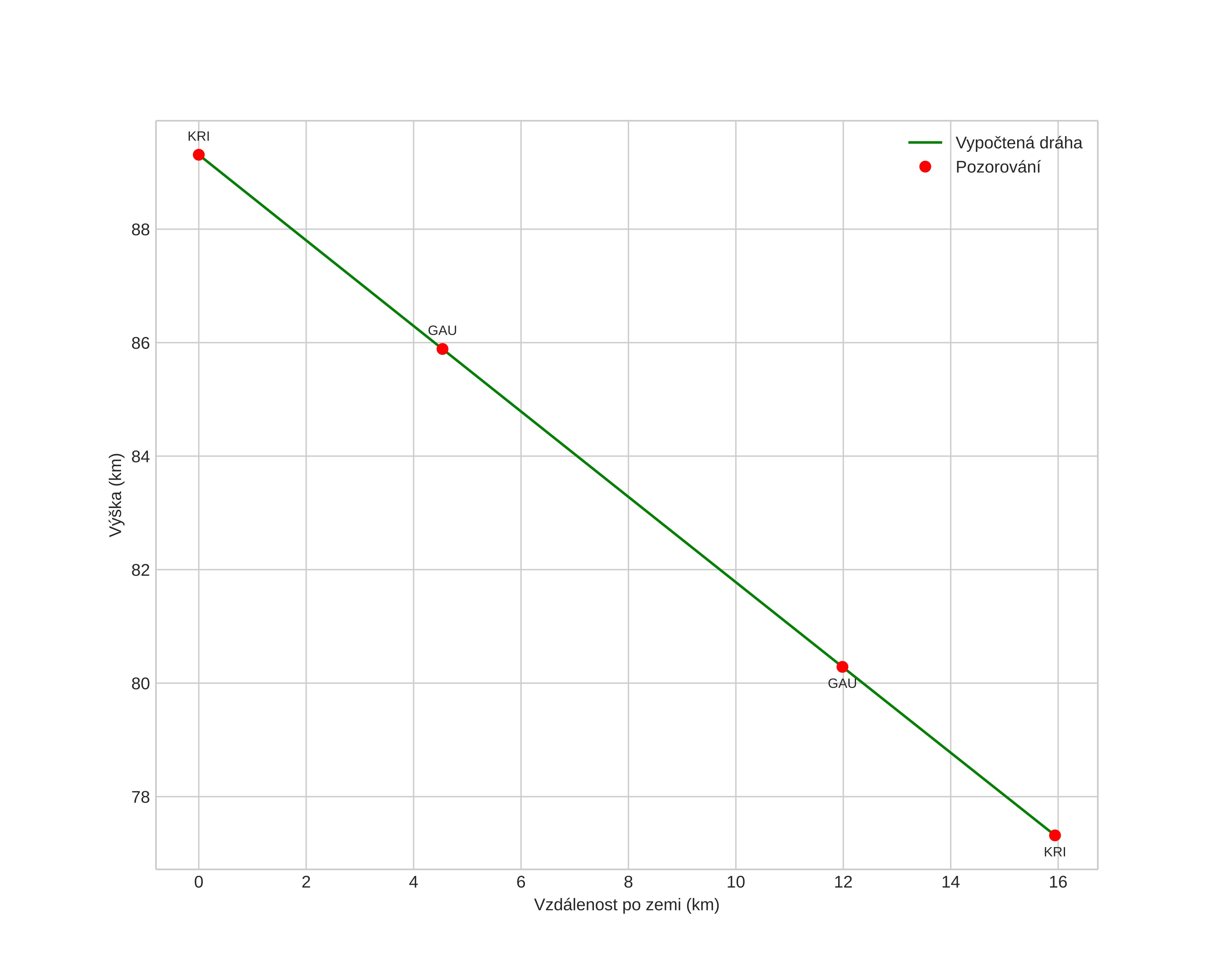
height profile
Atmosférická dráha meteoru:
Počáteční výška: 86,5 km
Konečná výška: 77,3 km
Počáteční poloha: 58,599N 8,353E
Konečná poloha: 58,695N 8,251E
Směr: 331,1°
Sklon: 37,0°
VstupnĂ­ rychlost: 21,0 km/s
Rektascenze radiantu: 14:10 (212,6°)
Deklinace radiantu: 4,2°
MeteorickĂ˝ roj: sporadickĂ˝
Elementy dráhy meteoroidu:
Vzdálenost v periheliu: 0,787 AU
Excentricita: 0,703
Sklon dráhy: 8,3°
Délka vzestupného uzlu: 43,6°
Argument perihelia: 242,1°
Střední anomálie: 350,8°
Epocha: 2024 MAY 03 21:15:38
orbit plot

NeinteraktivnĂ­ graf | InteraktivnĂ­ graf

position vs time
speed and acceleration

Gaustatoppen (GAU) cam4


gnomonic
Videa
• Gnomonická
• Gnomonická se souřadnicemi
• Původní
• Původní se souřadnicemi
Obrázky
• Gnomonická
• Gnomonická se souřadnicemi
• Gnomonická s popisky
• Původní
• Původní se souřadnicemi
Textové soubory
• Detekce
• Pozorování
• Souřadnice
• Protokol
Jasnost