🇳🇴 🇬🇧 🇩🇪 🇨🇿 🇫🇮

Meteor, poloha: Løkken 2024-05-03 22:14:38 UTC

Soubor KML  |  InteraktivnĂ­ mapa

Mapa zobrazuje dráhy meteoru. Světlejší čáry ukazují směry od pozorovacích stanic při objevení se meteoru a tmavší čáry, kde byl naposledy viděn. Modrá šipka značí viditelnou dráhu meteoru.

static map
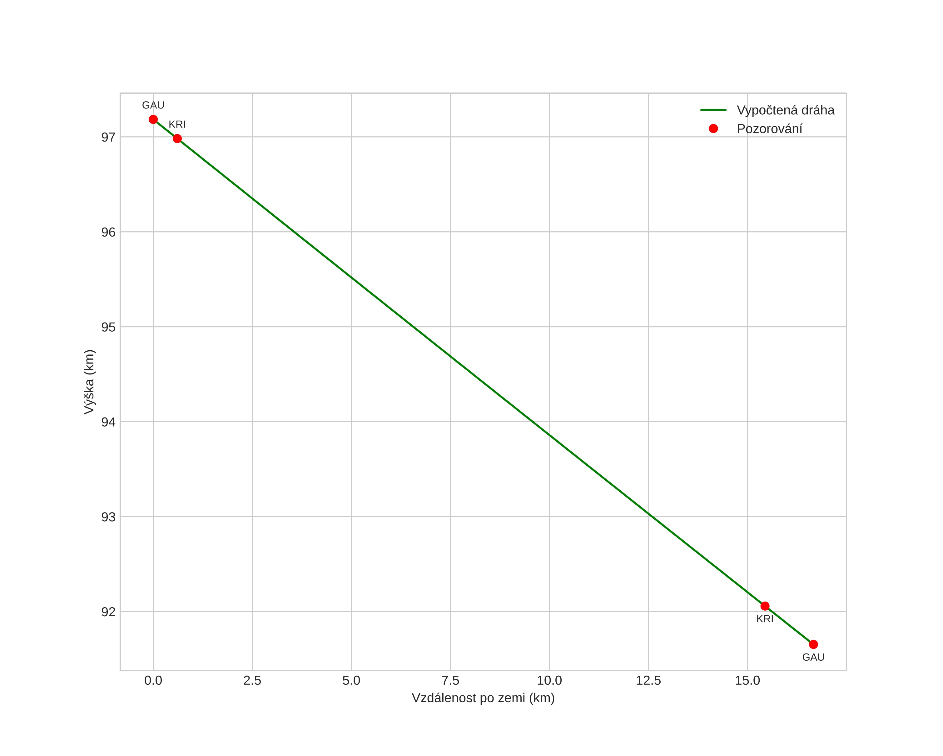
height profile
Atmosférická dráha meteoru:
Počáteční výška: 99,0 km
Konečná výška: 92,2 km
Počáteční poloha: 57,539N 9,513E
Konečná poloha: 57,429N 9,376E
Směr: 214,1°
Sklon: 24,9°
VstupnĂ­ rychlost: 43,6 km/s
Rektascenze radiantu: 22:20 (335,0°)
Deklinace radiantu: 48,3°
MeteorickĂ˝ roj: sporadickĂ˝
Elementy dráhy meteoroidu:
Vzdálenost v periheliu: 0,764 AU
Excentricita: 0,941
Sklon dráhy: 68,4°
Délka vzestupného uzlu: 43,6°
Argument perihelia: 120,1°
Střední anomálie: 0,8°
Epocha: 2024 MAY 03 22:14:38
orbit plot

NeinteraktivnĂ­ graf | InteraktivnĂ­ graf

position vs time
speed and acceleration