🇳🇴 🇬🇧 🇩🇪 🇨🇿 🇫🇮

Meteor, poloha: Vinderup 2024-05-06 20:40:45 UTC

Soubor KML  |  InteraktivnĂ­ mapa

Mapa zobrazuje dráhy meteoru. Světlejší čáry ukazují směry od pozorovacích stanic při objevení se meteoru a tmavší čáry, kde byl naposledy viděn. Modrá šipka značí viditelnou dráhu meteoru.

static map
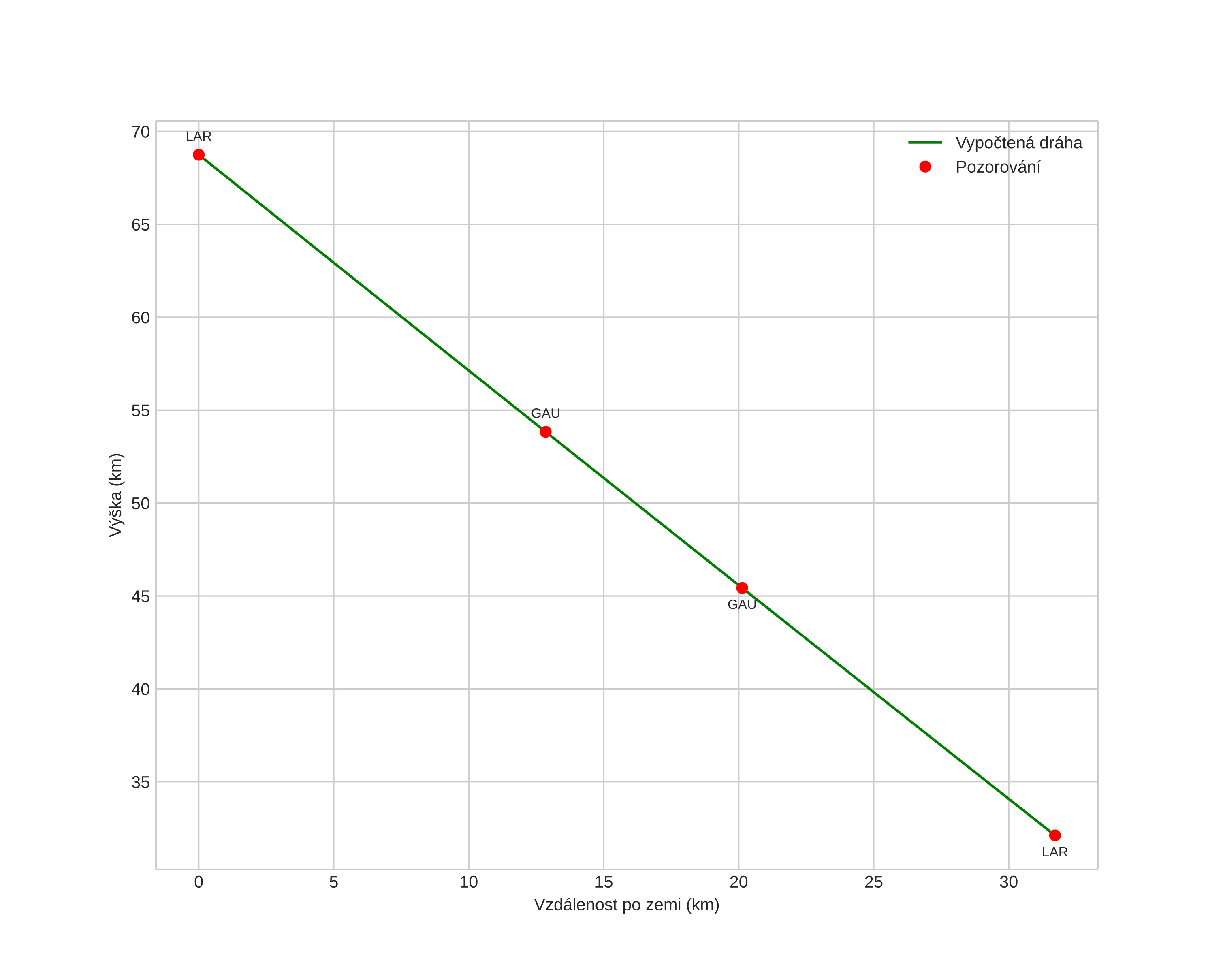
height profile
Atmosférická dráha meteoru:
Počáteční výška: 68,7 km
Konečná výška: 32,1 km
Počáteční poloha: 56,315N 9,143E
Konečná poloha: 56,557N 8,872E
Směr: 328,4°
Sklon: 49,1°
VstupnĂ­ rychlost: 16,9 km/s
Rektascenze radiantu: 13:45 (206,3°)
Deklinace radiantu: 13,0°
MeteorickĂ˝ roj: sporadickĂ˝
Elementy dráhy meteoroidu:
Vzdálenost v periheliu: 0,904 AU
Excentricita: 0,569
Sklon dráhy: 7,8°
Délka vzestupného uzlu: 46,5°
Argument perihelia: 224,4°
Střední anomálie: 349,2°
Epocha: 2024 MAY 06 20:40:45
orbit plot

NeinteraktivnĂ­ graf | InteraktivnĂ­ graf

position vs time
speed and acceleration

Gaustatoppen (GAU) cam4


gnomonic
Videa
• Gnomonická
• Gnomonická se souřadnicemi
• Původní
• Původní se souřadnicemi
Obrázky
• Gnomonická
• Gnomonická se souřadnicemi
• Gnomonická s popisky
• Původní
• Původní se souřadnicemi
Textové soubory
• Detekce
• Pozorování
• Souřadnice
• Chybová hlášení
• Protokol
Jasnost