🇳🇴 🇬🇧 🇩🇪 🇨🇿 🇫🇮

Meteor, poloha: Rødberg 2024-05-07 21:51:16 UTC

Soubor KML  |  InteraktivnĂ­ mapa

Mapa zobrazuje dráhy meteoru. Světlejší čáry ukazují směry od pozorovacích stanic při objevení se meteoru a tmavší čáry, kde byl naposledy viděn. Modrá šipka značí viditelnou dráhu meteoru.

static map
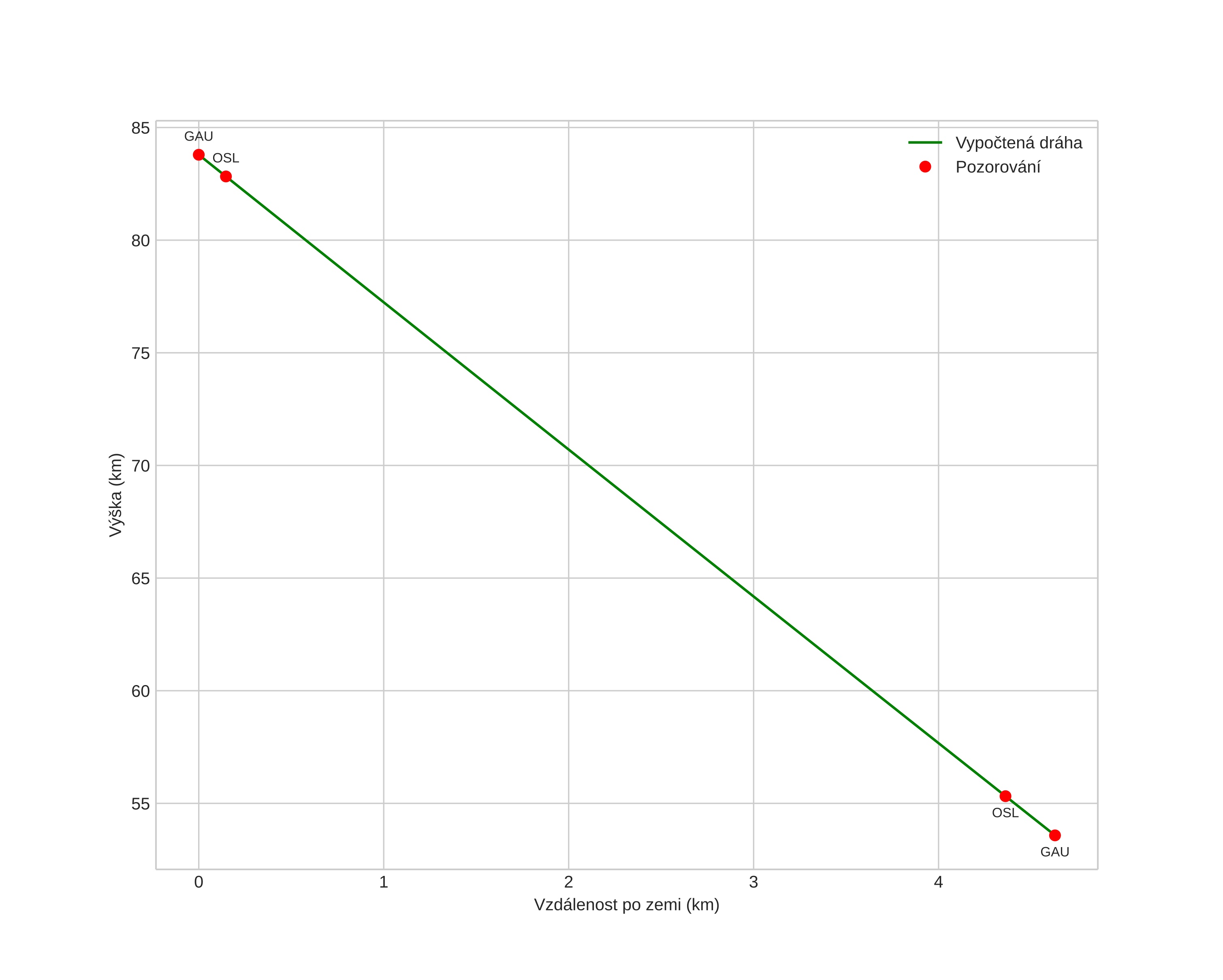
height profile
Atmosférická dráha meteoru:
Počáteční výška: 83,7 km
Konečná výška: 53,9 km
Počáteční poloha: 60,231N 9,188E
Konečná poloha: 60,200N 9,132E
Směr: 222,0°
Sklon: 81,3°
VstupnĂ­ rychlost: 17,9 km/s
Rektascenze radiantu: 14:30 (217,6°)
Deklinace radiantu: 66,8°
MeteorickĂ˝ roj: sporadickĂ˝
Elementy dráhy meteoroidu:
Vzdálenost v periheliu: 1,008 AU
Excentricita: 0,526
Sklon dráhy: 21,1°
Délka vzestupného uzlu: 47,5°
Argument perihelia: 184,8°
Střední anomálie: 358,7°
Epocha: 2024 MAY 07 21:51:16
orbit plot

NeinteraktivnĂ­ graf | InteraktivnĂ­ graf

position vs time
speed and acceleration