🇳🇴 🇬🇧 🇩🇪 🇨🇿 🇫🇮

Meteor, poloha: Vigrestad 2024-05-09 22:01:46 UTC

Soubor KML  |  InteraktivnĂ­ mapa

Mapa zobrazuje dráhy meteoru. Světlejší čáry ukazují směry od pozorovacích stanic při objevení se meteoru a tmavší čáry, kde byl naposledy viděn. Modrá šipka značí viditelnou dráhu meteoru.

static map
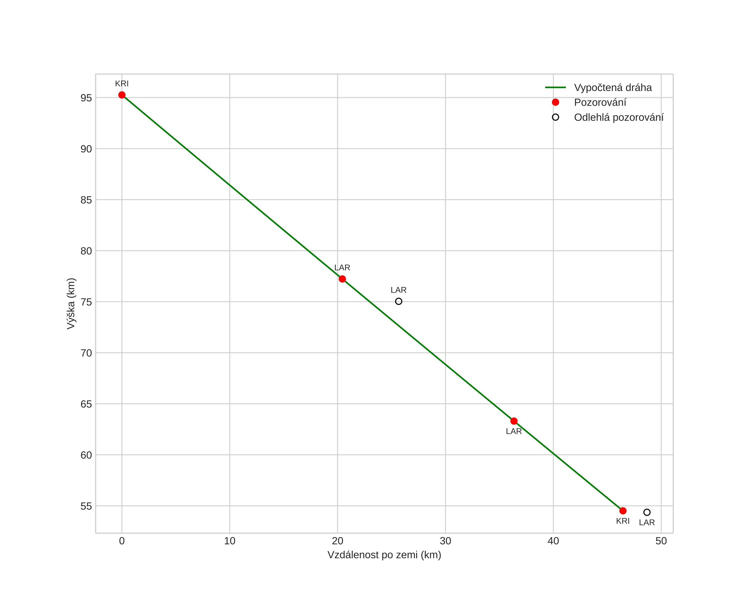
height profile
Atmosférická dráha meteoru:
Počáteční výška: 95,3 km
Konečná výška: 54,5 km
Počáteční poloha: 56,741N 4,313E
Konečná poloha: 57,158N 4,230E
Směr: 353,8°
Sklon: 41,2°
VstupnĂ­ rychlost: 19,2 km/s
Rektascenze radiantu: 13:47 (206,8°)
Deklinace radiantu: 3,0°
MeteorickĂ˝ roj: sporadickĂ˝
Elementy dráhy meteoroidu:
Vzdálenost v periheliu: 0,868 AU
Excentricita: 0,746
Sklon dráhy: 5,6°
Délka vzestupného uzlu: 49,4°
Argument perihelia: 227,8°
Střední anomálie: 354,9°
Epocha: 2024 MAY 09 22:01:46
orbit plot

NeinteraktivnĂ­ graf | InteraktivnĂ­ graf

position vs time
speed and acceleration