🇳🇴 🇬🇧 🇩🇪 🇨🇿 🇫🇮

Meteor, poloha: Kviteseid 2024-05-13 23:37:52 UTC

Soubor KML  |  InteraktivnĂ­ mapa

Mapa zobrazuje dráhy meteoru. Světlejší čáry ukazují směry od pozorovacích stanic při objevení se meteoru a tmavší čáry, kde byl naposledy viděn. Modrá šipka značí viditelnou dráhu meteoru.

static map
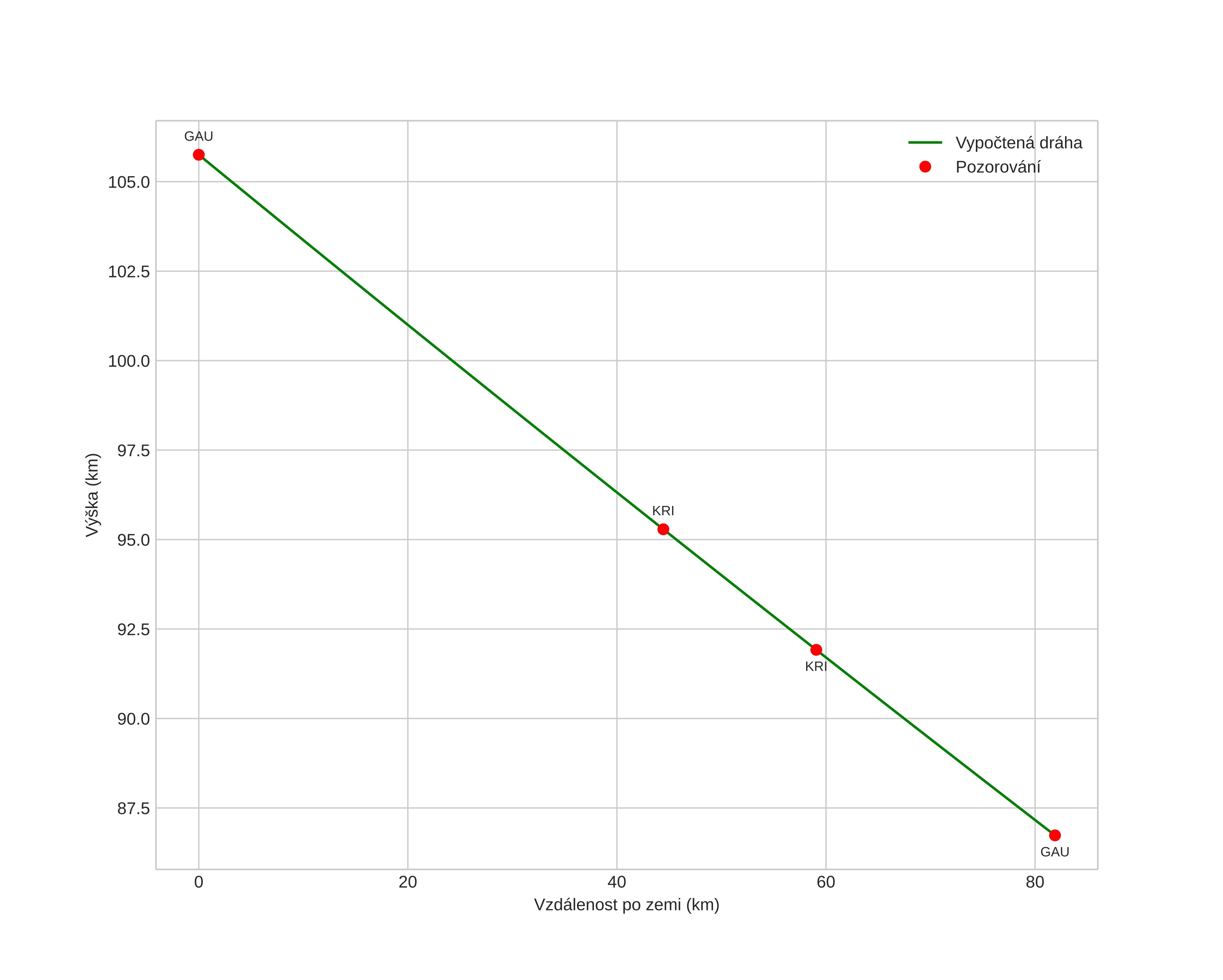
height profile
Atmosférická dráha meteoru:
Počáteční výška: 103,2 km
Konečná výška: 88,4 km
Počáteční poloha: 58,899N 8,847E
Konečná poloha: 59,548N 8,399E
Směr: 340,7°
Sklon: 10,9°
VstupnĂ­ rychlost: 38,4 km/s
Rektascenze radiantu: 17:00 (255,1°)
Deklinace radiantu: -20,5°
MeteorickĂ˝ roj: sporadickĂ˝
Elementy dráhy meteoroidu:
Vzdálenost v periheliu: 0,141 AU
Excentricita: 0,937
Sklon dráhy: 5,4°
Délka vzestupného uzlu: 53,4°
Argument perihelia: 321,2°
Střední anomálie: 349,3°
Epocha: 2024 MAY 13 23:37:52
orbit plot

NeinteraktivnĂ­ graf | InteraktivnĂ­ graf

position vs time
speed and acceleration